Foram encontradas 40 questões.
São características de uma dieta sem irritantes gástricos:
Provas
Questão presente nas seguintes provas
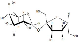
Sobre o carboidrato apresentado na questão anterior é correto afirmar que:
Provas
Questão presente nas seguintes provas
Observe a imagem, abaixo, e assinale a alternativa que indique, corretamente, qual carboidrato está representado:

http://www.ufal.edu.br/usinaciencia/multimidia/livros-digitais-caderno-tematicos/A_Quimica_dos_Alimentos.pdf
Provas
Questão presente nas seguintes provas
A dieta constipante tem como objetivos suprir as necessidades nutricionais dos pacientes,
melhorar o trânsito intestinal, auxiliar no alívio dos sintomas da diarreia, prevenir desidratação e perda de peso.
Dos alimentos não recomendados podemos citar:
I – alimentos pobres em fibras. II – alimentos que contêm lactose (leite e derivados, manteiga, adoçante com lactose). III – alimentos ricos em gordura (frituras, maionese, abacate).
Está correto o que se afirma em:
I – alimentos pobres em fibras. II – alimentos que contêm lactose (leite e derivados, manteiga, adoçante com lactose). III – alimentos ricos em gordura (frituras, maionese, abacate).
Está correto o que se afirma em:
Provas
Questão presente nas seguintes provas
Com relação ao Duodeno, considere a alternativa incorreta:
Provas
Questão presente nas seguintes provas
A Portaria n° 399/GM/MS, de 22 de fevereiro de 2006 define que “o Pacto pela Vida é o compromisso entre os gestores do SUS em torno de prioridades que apresentam impacto sobre a situação de saúde da população brasileira”. Tal Pacto possui prioridades para se alcançar os objetivos. Considerando a Portaria anteriormente referida, observe as prioridades expostas nas assertivas e assinale a que não compõe uma delas, de acordo com a Portaria n° 399/GM/MS, de 22 de fevereiro de 2006:
Provas
Questão presente nas seguintes provas
Ainda sobre o mesmo tema, a Portaria n° 399/GM/MS, de 22 de fevereiro de 2006,
especificamente sobre as diretrizes para gestão do SUS no Pacto de Gestão, a ―Regionalização é uma diretriz do
Sistema Único de Saúde e um eixo estruturante do Pacto de Gestão e deve orientar a descentralização das ações
e serviços de saúde e os processos de negociação e pactuação entre os gestores‖. O planejamento da
Regionalização possui determinados instrumentos, estes que estão expostos corretamente na alternativa:
Provas
Questão presente nas seguintes provas
A estratégia de Agentes Comunitários de Saúde na Atenção Básica, conforme a Portaria MS nº
2.488, de 21 de outubro de 2011, influencia diretamente no desenvolvimento da saúde pública no Brasil. A
implantação desta estratégia tem como um dos itens necessários o cumprimento da carga horária integral de 40
horas semanais por toda a equipe de agentes comunitários, composta por
Provas
Questão presente nas seguintes provas
De acordo com a Portaria MS nº 2.488, de 21 de outubro de 2011, ao se falar de disposições
gerais Sobre a Atenção Básica, a educação permanente de suas equipes é tópico essencial. Sobre este tema,
assinale a alternativa incorreta:
Provas
Questão presente nas seguintes provas
A Lei n° 10.741, de 1° de outubro de 2003, trata de temas importantes como a saúde do
idoso. Sobre tal ponto, considerando a legislação em referência, assinale a alternativa incorreta:
Provas
Questão presente nas seguintes provas
Cadernos
Caderno Container