Foram encontradas 40 questões.
Um reservatório de combustível tem forma cilíndrica,
com diâmetro 6 metros e altura 10 metros. A capacidade
total em litros desse reservatório, considerando π = 3,14,
será igual a:
Provas
Questão presente nas seguintes provas
3664447
Ano: 2025
Disciplina: Matemática Financeira
Banca: EDUCA
Orgão: Pref. Pedras Fogo-PB
Disciplina: Matemática Financeira
Banca: EDUCA
Orgão: Pref. Pedras Fogo-PB
Provas:
Um cliente bancário fez uma aplicação sob o regime de
juros simples com taxa mensal de 4% durante dois
trimestres. Ao final desse período, o montante foi
reaplicado sob o mesmo regime com taxa mensal de 5%
por mais um quadrimestre. Após isso, o cliente resgatou
o valor total de R$ 11.904,00.
Qual foi o valor inicialmente aplicado?
Qual foi o valor inicialmente aplicado?
Provas
Questão presente nas seguintes provas
Em uma pequena escola existem:
• 40 homens
• 20 pessoas que usam óculos
• 42 mulheres que não usam óculos
• 12 homens que usam óculos
Com base nessas informações, quantas pessoas nessa escola não usam óculos ou são homens?
• 40 homens
• 20 pessoas que usam óculos
• 42 mulheres que não usam óculos
• 12 homens que usam óculos
Com base nessas informações, quantas pessoas nessa escola não usam óculos ou são homens?
Provas
Questão presente nas seguintes provas
O valor de k para que o resto da divisão do polinômio
P(x) = 8x3 + 4x2 + 2x + k pelo polinômio Q(x) = 2x – 1
seja igual a 5 deve ser:
Provas
Questão presente nas seguintes provas
Para se construir um muro, inicialmente 12 homens
trabalharam durante 15 dias. Depois chegaram mais 8
homens e se juntaram ao grupo por 5 dias até concluírem
a obra.
Se todos os homens tivessem trabalhado juntos desde o início, o muro teria ficado pronto em:
Se todos os homens tivessem trabalhado juntos desde o início, o muro teria ficado pronto em:
Provas
Questão presente nas seguintes provas
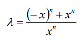
Tome o número λ abaixo, com n e x ∈ N, e 0 < x ≠ 1

Nessas condições, o valor de λ será:
Provas
Questão presente nas seguintes provas
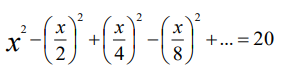
Observe a sequência infinita abaixo:
O valor de x é igual a:
O valor de x é igual a:
Provas
Questão presente nas seguintes provas
Observe a matriz M abaixo, cujos elementos são números reais não nulos.

Acerca de M e seus elementos, assinale a alternativa cuja ocorrência não a tornaria uma matriz singular:
Provas
Questão presente nas seguintes provas
Considere todos os anagramas formados com as letras da
palavra PEDRAS. Ao escolher ao acaso um desses
anagramas, a probabilidade do anagrama escolhido
iniciar com uma vogal ou terminar com uma consoante é
igual a:
Provas
Questão presente nas seguintes provas
Dona Ana tinha um antigo relógio de ponteiros na parede
de sua casa que tocava uma badalada na metade de cada
hora corrente, e mais, a cada hora completada, um
número de badaladas igual à hora correspondente.
Quantas badaladas o relógio de Dona Ana tocava em uma semana:
Quantas badaladas o relógio de Dona Ana tocava em uma semana:
Provas
Questão presente nas seguintes provas
Cadernos
Caderno Container