Foram encontradas 969 questões.
Disciplina: Engenharia Elétrica
Banca: UPENET/IAUPE
Orgão: Pref. Petrolina-PE
- Transformadores e Máquinas ElétricasPrincípios BásicosCircuitos equivalentes e circuitos magnéticos
- Transformadores e Máquinas ElétricasPrincípios BásicosPerdas, rendimento, torque, potência, ângulo de potência e funcionamento geral
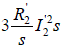
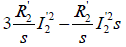
Analisando o circuito elétrico equivalente monofásico de regime permanente de um motor de indução trifásico, apresentado na figura da questão, referente ao seu fluxo de potência, assinale a alternativa que apresenta a expressão de cálculo da potência ativa trifásica de entreferro do motor em questão.

Fonte: FUEST, K., Elektrische Maschinen und Antriebe, Ed. 2, Friedr. Vieweg & Sohn, Braunschweig,1985 (com adaptações).
Provas
- Interpretação de TextosCoesão e CoerênciaCoerência
- Interpretação de TextosFiguras e Vícios de LinguagemFiguras de LinguagemElipse
TEXTO 1
O "cidadão de bem", os Direitos Humanos e a opinião pública
É comum que a opinião pública adote, conforme o quadro social, determinados posicionamentos que predominam nos populares. Trata se de uma uniformização de discursos, um consenso entre a maioria dos cidadãos sobre certo assunto. É evidente que o discurso não é sempre correto. O número de pessoas que fala a mesma coisa não é capaz de alterar o mundo dos fatos. Em outras palavras, quantidade não é qualidade.
No entanto, desde os primórdios, a intelectualidade gosta de nadar contra a maré . Dizer o contrário do que a maioria da população diz e acredita já deu causa a diversas descobertas, hoje consensos: antes de Galileu Galilei, a opinião pública acreditava que a Terra era plana; antes de Copérnico, era a Terra o centro do Universo. Isso não significa, todavia, que adotar posições antagônicas à opinião pública o tornará um descobridor, um visionário. Há muitas coisas em que a opinião pública está correta. [...]
Cada dia mais há publicações irônicas acerca do chamado "cidadão de bem", questionando a diferenciação desse com relação ao marginal. Há muito tempo o conceito de criminoso nato foi abandonado. Não há traços físicos de pessoas tendentes ao cometimento de delitos. Ademais, qualquer indivíduo está sujeito ao cometimento de práticas delituosas, uma vez que os dispositivos penais nem sempre refletem o sentimento coletivo ou mesmo individual do que é, de fato, uma grave transgressão.
Não se pode desconsiderar, todavia, que a prática criminosa reiterada deriva de desvios de conduta decorrentes de uma formação moral frágil, ou da simples ausência dela. Em uma sociedade, há quem não tenha coragem de subtrair um alfinete, enquanto outros estão dispostos a matar se for preciso ("necessidade" essa não tão latente quanto possa parecer).
João trabalha há 30 anos em uma empresa de vigilância. Exerce uma carga horária de 8 horas, de segunda a sexta feira, com uma remuneração um pouco superior a 1 salário mínimo e meio. Já foi assaltado 12 vezes e teve um filho morto em um assalto a mão armada. Pedro, por sua vez, não exerce função remunerada regula r. Tem extensa ficha criminal, sobrevive com pequenos bicos e roubos a mão armada. Um deles sai à noite do trabalho temendo os altos índices de violência na cidade em que mora; o outro, é grande colaborador para os índices apontados. É fácil perceber que a arma nas mãos de um deles seria um exclusivo meio de defesa, para o outro, um objeto para práticas delituosas.
O disposto a cometer crimes, provavelmente, não se importará de transgredir outra lei penal: adquirirá ilegalmente uma arma também. Mas quem gostaria de tê la como meio de defesa respeita as normas impostas pelo Estado e fica à mercê da criminalidade e da ineficaz segurança pública. Entre João e Pedro não é difícil visualizar qual é considerado "cidadão de bem" e qual não é.
Se a opinião pública encabeça, atualmente, um movimento cada vez mais punitivista, é porque se cansou de ficar à deriva, entre um Estado que não o protege (e não o deixa se defender) e uma criminalidade que cresce de forma exponencial. Ainda assim, toda vez que João liga a tele visão, ouve ONGs de Direitos Humanos afirmando que os presídios estão superlotados; que é preciso desencarcerar; que os apenados sofrem com a opressão do Estado; que prisão não resolve, porque não cumpre sua finalidade ressocializadora.
É evidente que o indivíduo vê se exausto de "ver prosperar a desonra, de ver crescer a injustiça" e demoniza os Direitos Humanos. Não que os Direitos Humanos em si sejam algo negativo, mas as instituições que os representam atualmente têm deturpado as suas finalidades. Há que se reconhecer o benefício histórico do movimento, sobretudo quando, em tempos sombrios, o Estado se excedia em face do indivíduo. Mas é preciso ponderação.
Os indivíduos devem deixar de transgredir por princípios morais, mas também por temer as consequências de seus atos. Se a educação não resolveu, o desvio precisa ser coibido. É preciso prevenção, mas também repressão. Por isso, a teoria não pode, jamais, desconsiderar a prática. Atacar a opinião pública sem analisar a sua perspectiva é injusto com quem é compelido a seguir os padrões morais e legais impostos pela vida em sociedade. E talvez o "cidadão de bem" não esteja tão errado assim...
Hyago de Souza Otto. Disponível em: https://hyagootto.jusbrasil.com.br/artigos/421032742/o cidadao de bem os direi tos humanos e a opiniao publica?ref=topic_feed. Acesso em 29/01/2019. Adaptado.
Considerando a propriedade textual da coerência, assinale a alternativa CORRETA.
Provas
No tocante à conservação e segurança dos acervos, sobre o que prevê o Código de Ética para Museus do Conselho Internacional de Museus (ICOM), analise as afirmativas abaixo:
I. A restauração é elemento primordial na política dos museus e da proteção de acervos, tanto para objetos em reserva como para objetos em exposição ou em trânsito.
II. Os museus devem realizar tempestivamente a restauração de objeto ou espécime tão logo este necessite de intervenções de conservação-restauração ou de serviços de um conservador-restaurador qualificado.
III. O principal objetivo deve ser a completa restauração do objeto e sua integridade.
IV. Todo procedimento de conservação deve ser documentado e, na medida do possível, reversível.
V. Toda alteração do objeto ou espécime original deve ser claramente identificável.
VI. Atenção especial deve ser dada ao desenvolvimento de políticas para a proteção de acervos durante conflitos armados e outros desastres naturais ou causados pelo homem.
Assinale a alternativa CORRETA.
Provas
Os indicadores básicos de controle ambiental para a conservação de bens culturais materiais são temperatura, humidade relativa do ar, luz e qualidade do ar.
Sobre a luz e a qualidade do ar, analise as afirmativas abaixo:
I. Nem todos os comprimentos de onda causam deterioração; apenas a radiação ultravioleta (UV) causa danos para os objetos. Por esse motivo, deve-se evitar o uso de lâmpadas fluorescentes e a incidência da luz solar direta nas reservas técnicas dos museus.
II. A luz atua como catalisadora da oxidação; desse modo, qualquer exposição dos objetos à luz é, em princípio, prejudicial à conservação e causa danos irreversíveis.
III. A qualidade do ar influencia diretamente na velocidade das reações químicas que causam deterioração dos materiais. Os poluentes gasosos mais comuns, presentes nas grandes cidades, induzem à formação de ácidos nos materiais.
IV. Também há poluentes em forma de partículas, que também causam problemas de acidificação, além de sujarem, arranharem e desfigurarem os materiais.
V. Apesar de ser uma providência de difícil consecução, é importante vedar completamente os espaços físicos das reservas técnicas, bem como as vitrines das exposições, a fim de evitar a degradação causada pela luz e, principalmente, pela má qualidade do ar.
VI. A alocação de reservas técnicas e áreas expositivas em uma edificação deve considerar sua localização em relação às possíveis fontes de poluentes e circulação de ar e entrada de luz natural, atentando-se, também, para as variações climáticas sazonais.
Assinale a alternativa CORRETA.
Provas
Os indicadores básicos de controle ambiental para conservação de bens culturais materiais são: temperatura, humidade relativa do ar, luz e qualidade do ar.
Sobre a temperatura e a umidade relativa do ar, analise as afirmativas abaixo:
I. As altas temperaturas e os altos níveis de umidade são danosos tanto para a conservação física de materiais mais higroscópicos, como a madeira, e menos higroscópicos, como o metal.
II. A grande variação de temperatura e umidade, causada, por exemplo, por equipamentos de ar-condicionado que são ligados e desligados ao longo do dia, pode ser mais danosa para os materiais higroscópicos do que a manutenção constante de altos índices de temperatura e umidade.
III. As autoridades não estabelecem um valor normativo fixo e exato para os níveis de temperatura e umidade do ar adequados para as reservas técnicas, visto que esses devem ser estabelecidos de acordo com o tipo de material armazenado e as condições institucionais de cada museu, devendo-se evitar as variações extremas.
IV. Uma recomendação frequente é a manutenção constante de temperaturas de 21ºC ou menos e índices de umidade constantes em algum valor entre 30% e 50%.
V. Os níveis de temperatura e umidade recomendados para reservas técnicas não visitáveis são inferiores àqueles recomendados para áreas de exposição e de administração.
VI. Os altos índices de temperatura aceleram sensivelmente os índices de deterioração. Estima-se que, a cada aumento de 10ºC, se dobra a velocidade da maioria das reações químicas que causam a deterioração.
Assinale a alternativa CORRETA.
Provas
“Recomendação referente à proteção e promoção dos museus e coleções, sua diversidade e seu papel na sociedade”, publicada pela UNESCO em 2015 entende que a preservação do patrimônio “compreende atividades relacionadas à aquisição e gestão de coleções, incluindo análise de risco e o desenvolvimento de capacidades de prevenção e de planos de emergência, além de segurança, conservação preventiva e curativa, e a restauração de objetos musealizados, garantindo a integridade das coleções quando usadas e armazenadas”.
Partindo desse conceito, pode-se considerar que a preservação nos museus compreende as atividades listadas abaixo, EXCETO:
Provas
De acordo com a lei 11.904/2009, o Estatuto dos Museus, “Os museus deverão formular, aprovar ou, quando cabível, propor, para aprovação da entidade de que dependa, uma política de aquisições e descartes de bens culturais, atualizada periodicamente”.
A política de aquisições e descartes tem como finalidade
Provas
Sobre o Inventário Nacional dos Bens Culturais Musealizados (INBCM), instituído pelo Instituto Brasileiro de Museus (IBRAM) através do Decreto nº 8.124, de 17 de outubro de 2013 e das Resoluções Normativas nº 1, de 31 de julho de 2014 e nº 2, de 29 de agosto de 2014, é CORRETO afirmar que o INBCM é um instrumento de inserção periódica de dados sobre os bens culturais musealizados que integram os acervos
Provas
Sobre os tesauros aplicados à documentação em museus, analise as afirmativas abaixo:
I. São linguagens documentárias específicas associadas a um domínio específico do conhecimento.
II. Utilizam-se da linguagem natural para organizar/indexar os termos.
III. Os termos apresentados em um tesauro são unívocos e possuem relações entre si; essas relações podem ser de hierarquia e todo-parte.
IV. Apresentam termos preferidos e não preferidos, os quais podem ser termos não autorizados ou equivalentes, sinônimos ou quase sinônimos dos preferidos.
V. O Tesauro de Objetos do Patrimônio Cultural nos Museus Brasileiros (2016), coordenado tecnicamente por Helena Dodd Ferrez, produzido no contexto nacional e consiste em uma revisão e ampliação do Thesaurus para Acervos Museológicos (1987), de autoria de Maria Helena S. Bianchini e Helena Dodd Ferrez.
VI. O Tesauro de Objetos do Patrimônio Cultural nos Museus Brasileiros (2016) é regulamentado pelo Inventário Nacional dos Bens Culturais Musealizados - INBCM, instituído pelo Instituto Brasileiro de Museus (IBRAM), através da Instrução Normativa nº 2, de 29 de agosto de 2014, em consonância com o Decreto nº 8.124, de 17 de outubro de 2013 e com a Resolução Normativa nº 1, de 31 de julho de 2014.
Estão CORRETAS apenas
Provas
Segundo o Comitê Internacional de Documentação (CIDOC) do Conselho Internacional de Museus (ICOM), o “Object ID é uma norma internacional para descrição de objetos culturais, resultado de pesquisas feitas em colaboração com a comunidade museológica, a UNESCO, a polícia internacional – incluindo o FBI, a Scotland Yard e a Interpol –, agências aduaneiras, o comércio de arte, a indústria de seguros e avaliadores de arte e antiguidades. O uso dessa norma ajuda a combater a apropriação ilegal de objetos de arte, facilitando a documentação dos bens culturais e reunindo organizações ao redor do mundo que podem incentivar a sua implementação”.
Acerca do Object ID, analise as afirmativas abaixo:
I. O Object ID é a norma mais completa para documentação em museus e deve ser adotada como norma base para a elaboração de inventários de bens culturais materiais.
II. O Object ID é a norma que sistematiza as informações mínimas para a descrição e a identificação de um bem cultural material, por isso é universalmente recomendada pelo ICOM para o combate ao tráfico ilícito de bens culturais.
III. O Object ID é a norma reconhecida internacionalmente pelas polícias internacionais e, por esse motivo, deve ser adotada como única norma para a documentação em museus.
IV. A lista de controle da norma Object ID é composta pelas seguintes orientações: Tire fotografias, Responda estas questões (Número do objeto, Local no prédio, Outras Numerações, Classificação, Tipo do objeto, Materiais e técnicas, Medidas, Inscrições e marcas, Características particulares, Título, Assunto ou tema, Data ou período, Autor ou fabricante, Observações), Escreva uma breve descrição, Proteja as informações.
V. A lista de controle da norma Object ID é composta pelas seguintes orientações: Tire fotografias, Responda estas questões (Tipo do objeto, Materiais e técnicas, Medidas, Inscrições e marcas, Características particulares, Título, Assunto ou tema, Data ou período, Autor ou fabricante), Escreva uma breve descrição, Proteja as informações.
VI. O Object ID é reconhecido pelo ICOM e pelo Instituto Brasileiro de Museus (IBRAM) como norma de controle que comprova a propriedade dos bens culturais materiais pelos museus brasileiros, de acordo com o disposto na Lei 11904/2009, o Estatuto dos Museus.
Está CORRETO, apenas, o que se afirma em
Provas
Caderno Container