Foram encontradas 50 questões.
Provas
- FundamentosPotenciação e RadiciaçãoRadiciação
- FundamentosPotenciação e RadiciaçãoPotenciação
- ÁlgebraÁlgebra LinearSistemas lineares
- FunçõesFunção Exponencial
Quando um amigo perguntou a Gustavo qual a sua idade e a idade de seus dois irmãos ele respondeu:
Sendo x,y e z números reais inteiros e positivos, minha idade é o dobro de um número x, onde x é dado por √6x = 363. A idade de meu irmão mais novo é igual ao produto da minha idade por um número y,onde y é dado por 5y =√5. E, por fim, a idade de meu irmão mais velho é igual à idade de meu irmão mais novo somada ao produto da minha idade por um número z, onde z é dado por 34-2z = 92z.
Assim, o amigo deverá deduzir que a idade de Gustavo e de
seus irmãos mais velho e mais novo são, respectivamente:
Provas
Ana, Bruna e Camila estudam em escolas diferentes com professoras de matemática diferentes, e estas usam métodos diferentes para determinar a média de nota de prova obtida por seus alunos. A professora de Ana utiliza o método da média ponderada, enquanto que as professoras de Bruna e Camila utilizam, respectivamente, a média aritmética e a média geométrica. Sabendo que tanto a professora de Ana como as professoras de Bruna e Camila aplicam três provas durante o bimestre, considere a tabela a seguir, que contém as notas obtidas por Ana, Bruna e Camila nas provas que cada uma delas realizou no primeiro bimestre de 2013.

Assinale a seguir a alternativa que apresenta, respectivamente, a média de nota de prova obtida por Ana, Bruna e Camila de acordo com o método utilizado por suas respectivas professoras:
Provas
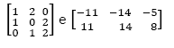
Sejam as matrizes
e
matriz transposta de B e o produto AxB. são,
respectivamente:
Provas
Provas
Provas
Texto para a questão a seguir.
É de puxar os olhos
(Ricardo Semler)
E o camarão se mexeu. O danado estava vivo! Posso parecer um pouco caipira, já tinha comido peixe cru em restaurante japonês, mas cru e vivo, nunca! Foi só pegar no bicho com os tais pauzinhos e vuupt, o camarão deu um salto de samurai de volta para o prato. E assim progredia a visita ao Japão...
Descer no aeroporto de Narita leva à reflexão sobre o que incentiva milhares de nisseis a abandonarem o Brasil à procura de uma oportunidade no Japão. Logicamente, ganhar dinheiro verdadeiro é uma razão. Em vez de trocarem o seu esforço por uma moeda-piada do tipo cruzeiro, cruzado ou cruz-credo, o conforto de botar alguns iens no banco e saber que ainda estará lá quando for verificar o extrato. Até aí tudo bem. Mas fico pensando se o desespero é parte vital da decisão e se os nossos nisseis sabem no que estão se metendo.
Esta semana foi interessante aqui. A primeira-ministra da França, Edith "menina-veneno" Cresson, disse que os japoneses não sabem viver, que mais parecem umas formigas. O pessoalzinho daqui ficou uma vara. Passados alguns dias, bomba em cima de bomba com casos magistrais de corrupção nos mais altos níveis (ao leitor distraído reafirmo que estou em Tóquio e não em Brasília). Começou com o Marubeni, acusado de desvios de propinas para políticos. Aí, foi a vez da Nomura, a maior corretora de bolsa de valores do mundo, que andou desviando dinheiro e dando propina para políticos. E, para finalizar a novela da semana, a Itoman vê os seus executivos saírem algemados por envolvimento em - pasmem! - desvio de fundos e propinas para políticos. E foram três casos totalmente independentes um do outro...
Rumar para o Japão à procura do pote de ouro do fim do arco-íris é uma ingenuidade. O Japão é moderno, mas as suas tradições milenares desafiam qualquer análise ou compreensão superficial. É a meca da inovação, mas é também o país que mais copiou produtos na história industrial. Tem ares de liberdade de mercado, mas é uma das nações mais protecionistas e paternais do globo. É líder em tecnologia em diversas áreas, mas só deixa japoneses legítimos assumirem qualquer cargo de importância nas empresas. Fã do capitalismo livre, é mestre inigualável de intervenção estatal e poupança forçada. É nação orgulhosa de sua raça, mas os seus ídolos de comerciais não têm nem mesmo os olhos puxados, a exemplo de um comercial muito popular por aqui com o nosso "acerera A-i-roton"! Aos nisseis que pensam em vir para cá, cabe a mesma reflexão que vale para Nova Jersey ou Lisboa. Todas as nações têm muito a ensinar, mas também muito a aprender. Nivelar as expectativas com os pés no chão fará com que nossos imigrantes voltem algum dia ao Brasil para ajudar a desatolar o nosso país com o que vivenciaram fora. É bom colocar tudo no prato para evitar, como no caso do meu camarão rebelde, que se acabe comendo cru...
SEMLER, Ricardo. “É de puxar os olhos”. In: Embrulhando o Peixe - Crônicas de um Empresário do Sanatório Brasil. 2ª ed. São Paulo: Best Seller, 1992. p. 58-59
Provas
Provas
Provas
Provas
Caderno Container