Foram encontradas 40 questões.
O Estatuto dos Servidores Públicos do Município de Pitangueiras prevê que o servidor poderá ser cedido para ter exercício
em outro órgão ou entidade para exercício de cargo em comissão. A cessão far-se-á mediante
Provas
Questão presente nas seguintes provas
Trata-se do deslocamento do servidor, com o respectivo cargo, para o quadro de pessoal de outro órgão ou entidade do mesmo
Poder, observados a vinculação entre os graus de complexidade e responsabilidade, a correlação das atribuições, a equivalência
entre os vencimentos e o interesse da Administração, com prévia apreciação da Seção de Recursos Humanos. Tal ato dar-se-á,
exclusivamente, para ajustamento de quadros de pessoal às necessidades dos serviços, inclusive nos casos de reorganização,
extinção ou criação de órgão ou entidade. Considerando as disposições da Lei nº 1.904/1997, o conceito anteriormente explicitado,
diz respeito à:
Provas
Questão presente nas seguintes provas
Fulana, servidora do município de Pitangueiras, almeja a designação por acesso, para função de chefia de determinado órgão
público municipal, porém esta designação será, exclusivamente, para servidor de carreira. Considerando o caso hipotético e tomando como base o Estatuto dos Servidores Públicos do Município de Pitangueiras, assinale a afirmativa correta.
Provas
Questão presente nas seguintes provas
Considerando somente a Lei nº 1.904/1997, analise as afirmativas a seguir.
I. Após cada quinquénio ininterrupto de exercício, o servidor fará jus a três meses de licença prêmio, a título de prêmio por assiduidade, com a remuneração do cargo.
II. O servidor terá direito a licença, sem remuneração, durante o período que mediar entre a sua escolha em convenção partidária, como candidato a cargo eletivo, e a véspera do registro de sua candidatura perante a Justiça Eleitoral.
III. Poderá ser concedida ao servidor licença por motivo de doença do cônjuge ou companheiro, padrasto ou madrasta, ascendente, descendente, enteado e colateral consanguíneo ou afim até o segundo grau civil, mediante comprovação por junta médica oficial.
Está correto o que se afirma em
I. Após cada quinquénio ininterrupto de exercício, o servidor fará jus a três meses de licença prêmio, a título de prêmio por assiduidade, com a remuneração do cargo.
II. O servidor terá direito a licença, sem remuneração, durante o período que mediar entre a sua escolha em convenção partidária, como candidato a cargo eletivo, e a véspera do registro de sua candidatura perante a Justiça Eleitoral.
III. Poderá ser concedida ao servidor licença por motivo de doença do cônjuge ou companheiro, padrasto ou madrasta, ascendente, descendente, enteado e colateral consanguíneo ou afim até o segundo grau civil, mediante comprovação por junta médica oficial.
Está correto o que se afirma em
Provas
Questão presente nas seguintes provas
Meire, servidora pública do município de Pitangueiras, além do vencimento e das vantagens previstas em Lei, fará jus às
seguintes gratificações e adicionais, EXCETO:
Provas
Questão presente nas seguintes provas
Certa empresa vende fardos de papel higiênico em embalagens com 12 rolos de 60 metros de papel cada. Após um estudo
que identificou uma maior aceitação de mercado de fardos com maiores quantidades de rolos, a empresa resolveu aumentar
seus fardos de 12 para 16 rolos de papel sem modificar o preço do produto. Sendo assim, para que a empresa consiga manter
o preço do fardo ela deverá reduzir a quantidade de papel higiênico em cada rolo para quantos metros?
Provas
Questão presente nas seguintes provas
Os funcionários de determinada empresa foram distribuídos em dois grupos de compartilhamento automático de e-mails.
Sabe-se que grupo é composto por 35 funcionários e o outro grupo conta com 25 funcionários. Do total de funcionários da
empresa, metade está em ambos os grupos; e todos os funcionários estão em pelo menos um dos grupos. Sendo assim, é
possível garantir que essa empresa possui quantos funcionários no total?
Provas
Questão presente nas seguintes provas
Juliana foi a um piquenique com dois amigos e se esqueceu de levar seu lanche. Cada um dos dois amigos levou um mesmo
lanche e, para que Juliana não ficasse com fome, cada amigo aceitou dar a ela uma porção J de seu próprio lanche. Sabendo-se que Juliana comeu menos do que a metade de cada lanche, e que, ao todo, ela comeu mais do que cada um dos amigos
individualmente, é correto afirmar que essa porção J deve estar compreendida entre:
Provas
Questão presente nas seguintes provas
Maria e suas 3 irmãs são madrinhas em um casamento e foram ao evento com vestidos das seguintes cores: Maria foi de
amarelo, duas de suas irmãs foram de azul e a outra foi de rosa. No momento de tirar a foto das quatro madrinhas, a noiva
solicitou que as irmãs usando vestidos de mesma cor não ficassem uma do lado da outra. Neste caso, o número de formas
distintas que as madrinhas podem aparecer nessa foto pertence a qual dos intervalos a seguir?
Provas
Questão presente nas seguintes provas
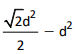
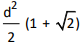
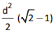
Fernanda usou uma caixa de pizza de formato octogonal regular para recortar um quadrado, conforme figura a seguir:

Se a maior diagonal deste octógono é d, quanto vale a área que sobrou da caixa (representada na figura pelo sombreado), após a retirada do quadrado?

Se a maior diagonal deste octógono é d, quanto vale a área que sobrou da caixa (representada na figura pelo sombreado), após a retirada do quadrado?
Provas
Questão presente nas seguintes provas
Cadernos
Caderno Container