Foram encontradas 50 questões.
Analise as afirmativas a seguir que descrevem sobre algumas separações de misturas:
I. Separa sólido-sólido, geralmente de minérios pulverizados da respectiva ganga (impurezas).
II. Separa sólido-sólido cujos componentes apresentam uma acentuada diferença de densidade.
III. Separa sólido-sólido com base na diferença de solubilidade dos sólidos em um determinado líquido.
Os processos descritos em I, II e III são, respectivamente:
Provas
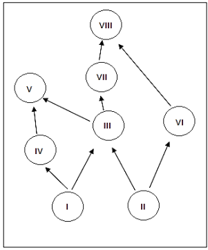
Analise a teia alimentar a seguir:

Assinale a afirmativa correta.
Provas
Analise as afirmativas a seguir.
I. No momento da largada de uma corrida, o atleta empurra para trás um bloco que serve de apoio, exercendo uma força ao empurrá-lo, como também o bloco exerce uma força, empurrando o atleta para a frente.
II. Um motorista dentro de seu carro em movimento freia bruscamente, fazendo com que o seu corpo seja arremessado para frente, pois seu corpo tende a manter o movimento, em linha reta, na velocidade com que vinha se deslocando até então.
Os exemplos I e II, respectivamente, tratam-se de quais Leis de Newton?
Provas
Analise as alternativas a seguir.
I. Copo com álcool hidratado.
II. Copo com água e gelo.
III. Copo de água com gás.
O sistema heterogêneo com duas fases é observado apenas em:
Provas
Provas
Provas
Provas
Provas
- Identidade dos Seres Vivos
- Reino VegetalIntrodução aos estudos das Plantas
- Reino VegetalBriófitas e Pteridófitas
Provas
Provas
Caderno Container