Foram encontradas 47 questões.
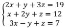
O valor de x no sistema linear a seguir é:

Provas
Questão presente nas seguintes provas





Provas
Questão presente nas seguintes provas





Provas
Questão presente nas seguintes provas





Provas
Questão presente nas seguintes provas





Provas
Questão presente nas seguintes provas





Analisando a tirinha, marque o enunciado do texto ao qual esta serve de ilustração.

O pessoal do serviço que me mandou viajar, pegar uma piscina, tomar uns drinks e relaxar. Assim não dá, é um monte de ordem ao mesmo tempo; como eles acham que vou cumprir tudo?!
Provas
Questão presente nas seguintes provas
Você “trabalha em equipe” e é “workaholic”?
Pare de usar palavras batidas.
Um termo desgastado dito na entrevista de
emprego ou em uma reunião pode revelar dados
sobre uma pessoa. Alguns, dizem os especialistas,
produzem o efeito contrário ao que se deseja e
denotam, no mínimo, imaturidade. "Você pode ser
percebido como alguém sem conteúdo que, assim
como um adolescente, está preocupado em pertencer
a um grupo e ser aceito por ele, em vez de contribuir
com o sucesso da empresa", afirmou o consultor
Silvio Celestino, sócio fundador da Alliance
Coaching.
Sem perceber, até o profissional mais preparado
pode escorregar em um clichê. Por isso, antes de ir a
campo, conheça as principais frases e termos e
entenda por que você deve fugir deles.
1 - Sou perfeccionista
A expressão não diz nada. "O entrevistador quer
conhecer o candidato. E, ao responder dessa maneira,
perde-se a grande chance de falar sobre si", disse
Marcelo de Lucca, sócio da consultoria KPMG. Em
vez de reduzir a possibilidade a uma palavra, por que
não falar que se aprimora continuamente citando, por
exemplo, quantos e quais livros lê por ano ou cursos
que faz por conta própria? "A pessoa que se descreve
uma perfeccionista geralmente não tem uma visão
mais clara de si mesma. E não reconhecer os erros é
também não reconhecer as virtudes", afirmou Marco
Zanini, professor da Escola Brasileira de
Administração Pública e de Empresas da Fundação
Getulio Vargas (Ebape/FGV). ]
2 - Quero muito trabalhar aqui
A empresa não precisa de pessoas que queiram
trabalhar nela, mas que queiram que ela ganhe, disse
Silvio Celestino. Ou seja, além de querer trabalhar, o
mais importante é demonstrar interesse em contribuir
com o sucesso da companhia.
3 - Gosto de trabalhar em equipe
Isso não prova que os demais gostam de
trabalhar com você, segundo Celestino. Seja mais
claro e afirme que você é capaz de liderar pessoas ou sabe lidar com conflitos e busca soluções
harmoniosas.
4 - Sou workaholic e faço tudo bem-feito
Para Celestino, afirmar que é workaholic pode
demonstrar falta de equilíbrio. Melhor especificar
que, sempre que necessário ou demandado pelo
gestor, você tem responsabilidade para entregar as
tarefas no prazo e nas especificações. "Oriento os
meus alunos a serem mais humildes, a não se
vangloriar - sendo jovens, principalmente, porque
eles ainda não têm experiência para apresentar. É
preferível ser verdadeiro, colocar o que quer fazer,
valorizar as aptidões e como deseja contribuir no
desenvolvimento da empresa", disse o professor
Zanini.
5 - Eu me dou bem com todo mundo
Com que tipo e com quantas pessoas você já
trabalhou? Diga que, independentemente das
características de cada indivíduo, você busca
respeitar as diferenças e focar na competência do
indivíduo, relevando características problemáticas,
afirmou Celestino.
Em reuniões
6 - Com certeza
Evite esse termo para afirmar algo que é
considerado óbvio e evidente, mas que nem sempre
é assim. "Afirme que tem a mesma opinião ou que
observou as mesmas evidências que o interlocutor",
disse Celestino.
7 - Tenho limitação de budget
Para Lucca, o profissional que justifica uma
situação com esse argumento se coloca como vítima,
quando deveria ser o protagonista. É preferível dizer
que, apesar da limitação, verá o que consegue fazer
para que a ação aconteça. "É uma maneira de se
mostrar disposto a realizar", disse Lucca.
8 - Tal área não fez o que deveria
Essa é a típica frase em que o sujeito joga a
responsabilidade no outro e não diz o que pode fazer
para mudar a situação. E isso é péssimo para a
imagem do profissional, segundo Lucca.
9 - Cada um tem a sua verdade
Essa é uma expressão perigosa. O que existem
são fatos e documentos. “Diferentes são as opiniões,
não a verdade” BGTT, disse Celestino.
10 - Accountability, empowerment e outros
Evite o uso de expressões estrangeiras quando há
uma em português perfeitamente compreensível.
Não use o inglês para demonstrar sofisticação ou
esnobar pessoas. Saiba adequar sua linguagem ao
público. "Muitas vezes, o termo é usual dentro da
cultura da empresa. Mas quem é de fora não é
obrigado a saber", afirmou Lucca.
11 - Sairei porque tenho novos desafios
Eis uma frase desgastada e vazia. Todo mundo
se despede da empresa ou do mercado dessa forma,
segundo Lucca. Mencione uma razão mais concreta
ou algo que traga mais valor.
(PEREIRA, Inês. Portal UOL Economia.
23/08/2018.)

NA ENTREVISTA DE EMPREGO...
- CITE UMA QUALIDADE SUA
- EU SOU UM CABRA QUE TÁ SEMPRE PENSANDO NO FUTURO
- HUM, MUITO BOM! E O QUE O SENHOR ESPERA DESSE EMPREGO?
- AS FÉRIAS.
I. O emprego do verbo esperar é metafórico.
II. O emprego do verbo esperar é literal.
III. O verbo esperar se realiza com duplo sentido, quais sejam, “ter esperança, expectativa”, quando ocorre na fala do entrevistador; e “aguardar”, quando ocorre implicitamente na resposta do entrevistado, “férias”.
Provas
Questão presente nas seguintes provas
Cadernos
Caderno Container