Magna Concursos

Foram encontradas 119 questões.

1278015 Ano: 2007
Disciplina: Engenharia Elétrica
Banca: CESPE / CEBRASPE
Orgão: Pref. Rio Branco-AC
Provas:

Acerca de máquinas síncronas trifásicas e motores de indução trifásicos, julgue os itens a seguir.

Os motores de indução podem ser de dois tipos: em gaiola e com rotor bobinado (ou enrolado). Em ambos os tipos, a tensão induzida nos condutores do rotor pode ser captada por meio dos anéis coletores e escovas, localizados no eixo do motor.

 

Provas

Questão presente nas seguintes provas
1278014 Ano: 2007
Disciplina: Engenharia Elétrica
Banca: CESPE / CEBRASPE
Orgão: Pref. Rio Branco-AC
Provas:

Acerca de máquinas síncronas trifásicas e motores de indução trifásicos, julgue os itens a seguir.

O método de partida mais comum para motores síncronos é o que usa os enrolamentos amortecedores para que a partida se dê como se o motor fosse de indução. Esses enrolamentos amortecedores estão localizados no estator da máquina

 

Provas

Questão presente nas seguintes provas
1278013 Ano: 2007
Disciplina: Engenharia Elétrica
Banca: CESPE / CEBRASPE
Orgão: Pref. Rio Branco-AC
Provas:

Acerca de máquinas síncronas trifásicas e motores de indução trifásicos, julgue os itens a seguir.

O escorregamento de um motor síncrono é unitário.

 

Provas

Questão presente nas seguintes provas
1278012 Ano: 2007
Disciplina: Engenharia Elétrica
Banca: CESPE / CEBRASPE
Orgão: Pref. Rio Branco-AC
Provas:

Acerca de máquinas síncronas trifásicas e motores de indução trifásicos, julgue os itens a seguir.

Considere que a freqüência da tensão que alimenta um motor de indução de quatro pólos é igual a 60 Hz e que a velocidade desse motor, a plena carga, é igual a 1740 rpm. Nessa situação, o escorregamento é superior a 5%.

 

Provas

Questão presente nas seguintes provas
1278011 Ano: 2007
Disciplina: Engenharia Elétrica
Banca: CESPE / CEBRASPE
Orgão: Pref. Rio Branco-AC
Provas:

Acerca de máquinas síncronas trifásicas e motores de indução trifásicos, julgue os itens a seguir.

O motor síncrono pode operar com fator de potência indutivo, resistivo ou capacitivo. Essa variação do fator de potência ocorre por meio do ajuste da corrente de campo.

 

Provas

Questão presente nas seguintes provas
1278010 Ano: 2007
Disciplina: Engenharia Eletrônica
Banca: CESPE / CEBRASPE
Orgão: Pref. Rio Branco-AC
Provas:

Em relação a circuitos alimentados com tensão alternada, julgue os itens seguintes.

O fator de potência de um circuito RLC série ressonante é unitário.

 

Provas

Questão presente nas seguintes provas
1278009 Ano: 2007
Disciplina: Engenharia Eletrônica
Banca: CESPE / CEBRASPE
Orgão: Pref. Rio Branco-AC
Provas:

Em relação a circuitos alimentados com tensão alternada, julgue os itens seguintes.

Considere que o fasor de tensão que alimenta um circuito é igual a 50 enunciado 1278009-1 V. Nessa situação, se a impedância desse circuito for igual a 5 enunciado 1278009-2a potência aparente consumida pelo circuito será igual a 500 enunciado 1278009-3 VA.

 

Provas

Questão presente nas seguintes provas
1278008 Ano: 2007
Disciplina: Engenharia Eletrônica
Banca: CESPE / CEBRASPE
Orgão: Pref. Rio Branco-AC
Provas:

Em relação a circuitos alimentados com tensão alternada, julgue os itens seguintes.

Se a impedância de um circuito for dada por (R+jX) , a condutância será igual enunciado 1278008-1 a e a susceptância, igual a enunciado 1278008-2 .

 

Provas

Questão presente nas seguintes provas
1278007 Ano: 2007
Disciplina: Engenharia Eletrônica
Banca: CESPE / CEBRASPE
Orgão: Pref. Rio Branco-AC
Provas:

Em relação a circuitos alimentados com tensão alternada, julgue os itens seguintes.

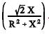
O valor eficaz das funções enunciado 1278007-1 é dado por enunciado 1278007-2 .

 

Provas

Questão presente nas seguintes provas
1278006 Ano: 2007
Disciplina: Engenharia Eletrônica
Banca: CESPE / CEBRASPE
Orgão: Pref. Rio Branco-AC
Provas:

Em relação a circuitos alimentados com tensão alternada, julgue os itens seguintes.

Considere uma fonte de tensão alternada descrita por enunciado 1278006-1 e aplicada a um circuito série. Considere ainda que a corrente que circula nesse circuito seja descrita por enunciado 1278006-2 . Nessa situação, é correto concluir que o circuito é indutivo, pois a corrente está atrasada 15º em relação à tensão.

 

Provas

Questão presente nas seguintes provas