Foram encontradas 120 questões.
Disciplina: Engenharia Florestal
Banca: CESPE / CEBRASPE
Orgão: Pref. Rio Branco-AC
A determinação do volume sólido em povoamentos florestais é indispensável para o estabelecimento de planos de manejo sustentável das florestas. A quantificação desse volume é feita a partir de inventário florestal. Uma das etapas do inventário consiste na execução de uma cubagem rigorosa em árvoresamostra abatidas, que consiste na medição sucessiva de diâmetros ao longo do tronco, dividindo-o em seções e determinando o volume sólido de madeira. Diante do exposto e considerando a figura abaixo, julgue os itens que se seguem.

O fator de forma é a relação entre o volume sólido da madeira e o volume cilíndrico.
Provas
Disciplina: Engenharia Florestal
Banca: CESPE / CEBRASPE
Orgão: Pref. Rio Branco-AC
A determinação do volume sólido em povoamentos florestais é indispensável para o estabelecimento de planos de manejo sustentável das florestas. A quantificação desse volume é feita a partir de inventário florestal. Uma das etapas do inventário consiste na execução de uma cubagem rigorosa em árvoresamostra abatidas, que consiste na medição sucessiva de diâmetros ao longo do tronco, dividindo-o em seções e determinando o volume sólido de madeira. Diante do exposto e considerando a figura abaixo, julgue os itens que se seguem.

Sabendo que
= 3,14 e C =
D e considerando que a tora mostrada na figura apresente 6 m de comprimento, 157 cm de circunferência na base, 141 cm de circunferência no topo, o volume de tora obtido pelo método de Smalian é superior a 1,5 m3
Provas
Disciplina: Engenharia Florestal
Banca: CESPE / CEBRASPE
Orgão: Pref. Rio Branco-AC
A determinação do volume sólido em povoamentos florestais é indispensável para o estabelecimento de planos de manejo sustentável das florestas. A quantificação desse volume é feita a partir de inventário florestal. Uma das etapas do inventário consiste na execução de uma cubagem rigorosa em árvoresamostra abatidas, que consiste na medição sucessiva de diâmetros ao longo do tronco, dividindo-o em seções e determinando o volume sólido de madeira. Diante do exposto e considerando a figura abaixo, julgue os itens que se seguem.

Nos casos em que a tora é considerada uma figura geométrica cilíndrica, o volume da tora (V) pode ser determinado pela fórmula
.
Provas
Disciplina: Engenharia Florestal
Banca: CESPE / CEBRASPE
Orgão: Pref. Rio Branco-AC
A determinação do volume sólido em povoamentos florestais é indispensável para o estabelecimento de planos de manejo sustentável das florestas. A quantificação desse volume é feita a partir de inventário florestal. Uma das etapas do inventário consiste na execução de uma cubagem rigorosa em árvoresamostra abatidas, que consiste na medição sucessiva de diâmetros ao longo do tronco, dividindo-o em seções e determinando o volume sólido de madeira. Diante do exposto e considerando a figura abaixo, julgue os itens que se seguem.

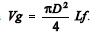
O volume de uma tora pode ser calculado pelo método geométrico (Vg) a partir do volume de um cilindro, corrigido pelo fator de forma "f", mediante a fórmula
.
Provas
Disciplina: Engenharia Florestal
Banca: CESPE / CEBRASPE
Orgão: Pref. Rio Branco-AC
A determinação do volume sólido em povoamentos florestais é indispensável para o estabelecimento de planos de manejo sustentável das florestas. A quantificação desse volume é feita a partir de inventário florestal. Uma das etapas do inventário consiste na execução de uma cubagem rigorosa em árvoresamostra abatidas, que consiste na medição sucessiva de diâmetros ao longo do tronco, dividindo-o em seções e determinando o volume sólido de madeira. Diante do exposto e considerando a figura abaixo, julgue os itens que se seguem.

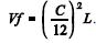
O volume de uma tora pode ser determinado pelo método geométrico (Vg) a partir do volume francon (Vf), pela fórmula Vg = 1,785 Vf.
Provas
Disciplina: Engenharia Florestal
Banca: CESPE / CEBRASPE
Orgão: Pref. Rio Branco-AC
A determinação do volume sólido em povoamentos florestais é indispensável para o estabelecimento de planos de manejo sustentável das florestas. A quantificação desse volume é feita a partir de inventário florestal. Uma das etapas do inventário consiste na execução de uma cubagem rigorosa em árvoresamostra abatidas, que consiste na medição sucessiva de diâmetros ao longo do tronco, dividindo-o em seções e determinando o volume sólido de madeira. Diante do exposto e considerando a figura abaixo, julgue os itens que se seguem.

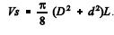
O volume de uma tora pode ser calculado pelo método francon (Vf) ou do 4.º reduzido, por meio da fórmula
.
Provas
Disciplina: Engenharia Florestal
Banca: CESPE / CEBRASPE
Orgão: Pref. Rio Branco-AC
A determinação do volume sólido em povoamentos florestais é indispensável para o estabelecimento de planos de manejo sustentável das florestas. A quantificação desse volume é feita a partir de inventário florestal. Uma das etapas do inventário consiste na execução de uma cubagem rigorosa em árvoresamostra abatidas, que consiste na medição sucessiva de diâmetros ao longo do tronco, dividindo-o em seções e determinando o volume sólido de madeira. Diante do exposto e considerando a figura abaixo, julgue os itens que se seguem.

O volume de uma tora (Vs) pode ser calculado pelo método de Smalian, de acordo com a fórmula
.
Provas
Disciplina: Engenharia Florestal
Banca: CESPE / CEBRASPE
Orgão: Pref. Rio Branco-AC
Impacto ambiental é qualquer alteração benéfica ou adversa causada pela ação ou atividade natural ou antrópica, que produz alterações bruscas em todo o meio ambiente ou em parte de alguns de seus componentes. O estudo do impacto ambiental é uma ferramenta importante para avaliar e determinar medidas de recuperação de áreas degradadas. Com referência a esse assunto, julgue os itens subseqüentes.
A ação de mineradoras a céu aberto na região amazônica pode causar, entre outros, os seguintes impactos: desmatamento, escavação de solo, desmonte de morros, erosão, assoreamento de rios, mudanças de curso de pequenos rios, emissão de gases por geradores e veículos.
Provas
Disciplina: Engenharia Florestal
Banca: CESPE / CEBRASPE
Orgão: Pref. Rio Branco-AC
Impacto ambiental é qualquer alteração benéfica ou adversa causada pela ação ou atividade natural ou antrópica, que produz alterações bruscas em todo o meio ambiente ou em parte de alguns de seus componentes. O estudo do impacto ambiental é uma ferramenta importante para avaliar e determinar medidas de recuperação de áreas degradadas. Com referência a esse assunto, julgue os itens subseqüentes.
O avanço da fronteira agrícola na Amazônia, uma das principais causas de impacto ambiental, só foi possível devido ao fato de essa região possuir solos férteis, profundos e bem drenados e apresentar um regime pluviométrico regular.
Provas
Disciplina: Engenharia Florestal
Banca: CESPE / CEBRASPE
Orgão: Pref. Rio Branco-AC
Um ecossistema pode ser um microambiente onde habitam alguns microrganismos ou um macroambiente onde habitam certos organismos, inclusive os seres humanos. Dentro de um ecossistema, seja micro ou seja macro, os seres vivos interagem com a luz, a temperatura, a água e o solo. A representação mais utilizada de um ecossistema é a floresta e a degradação ocasionada pela derrubada de suas árvores é um exemplo claro de desequilíbrio de ecossistemas. No tocante aos ecossistemas, julgue os itens seguintes.
As principais culturas que vêm sendo exploradas de forma sustentável no cenário agrícola da Amazônia são: dendê, cacau, seringueira, nim, bambu, banana e mamão.
Provas
Caderno Container