Foram encontradas 425 questões.
Em uma loja de eletrodomésticos, um forno elétrico que custava R$ 1.400,00 teve um aumento de R$ 84,00.
Podemos afirmar que o percentual de reajuste do preço foi de:
Provas
Questão presente nas seguintes provas
Uma empresa de serviços de assistência técnica em energia elétrica cobra pela visita à residência do cliente
e pelo tempo necessário para realizar o serviço na residência. O valor fixo cobrado pela visita é de R$ 50,00
e o valor da hora (h) para realização do serviço é R$ 18,50.
Qual é a alternativa que representa uma função que indica o valor a ser pago (P) em função das horas (h)
necessárias à execução do serviço?
Provas
Questão presente nas seguintes provas
Cássio mora em um município vizinho e trabalha na cidade de Rio Verde. Na ida para o trabalho em um
Celta 2014, rodando a 80 km/h, faz o percurso em 30 minutos. Qual é o tempo gasto por Cássio na volta
para casa se ele fizer o mesmo percurso trafegando a 100 km/h?
Provas
Questão presente nas seguintes provas
Uma das atividades físicas mais praticadas no mundo, o ciclismo é a paixão de um auxiliar técnico de
enfermagem de um hospital público de Rio Verde - Goiás. Se esse servidor decide comprar uma nova
bike que está sendo ofertada por R$ 2.199,90 dividida em 6 parcelas iguais e mensais, quanto terá que
pagar mensalmente de parcela?
Provas
Questão presente nas seguintes provas
Aplicando a regra de produtos notáveis e efetuada a devida simplificação na expressão algébrica
(a+b)2 + a(a + 2) − 2ab − b2
, poderemos representar o seu resultado por:
Provas
Questão presente nas seguintes provas
Determinada aplicação no mercado financeiro rende 0, 5% ao dia. Uma pessoa que dispõe de
R$20.000,00 e colocar nessa aplicação por 3 meses, no regime de juros simples, terá um rendimento
de:
Provas
Questão presente nas seguintes provas
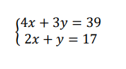
Qual alternativa representa o par ordenado que é uma solução possível do sistema de equações apresentado
a seguir?


Provas
Questão presente nas seguintes provas
O valor aproximado da temperatura de uma região da Sibéria, na madrugada, pode ser expressa pela
função polinomial T(x) = x3 + 3x2 + 4x − 70, onde x representa a hora. Sendo assim, o valor da
temperatura às 2 horas da manhã é de:
Provas
Questão presente nas seguintes provas
Em uma empresa de minério, 8 máquinas, todas de igual eficiência, são capazes de extrair 400 toneladas
em 12 dias. Então, 600 toneladas de minério são extraídas por 10 máquinas em:
Provas
Questão presente nas seguintes provas
A seguir, observe o texto abaixo para responder a questão:
Tubarões preferem banhistas que usam preto e branco
Vem ni mim, tubarão!
Está todo mundo lá na praia, nadando feliz e contente, quando vem um tubarão. Como é que ele
escolhe qual pessoa morder? Uni-duni-tê?
De acordo com a pesquisa do especialista em tubarões da Universidade da Flórida (EUA), George
Burgess, a escolha fashion do banhista é um dos fatores que o bicho leva em consideração: quem usa trajes
que combinem preto e branco tem mais chances de levar uma bela mordida.
Burgess analisou dados de ataques de tubarão registrados nos últimos 50 anos no município de
Volusia, uma região costeira da Flórida conhecida pela alta incidência de ataques (no período analisado,
foram 231). Nessa análise, percebeu que a maioria das pessoas mordidas estava usando branco e preto.
Mas por que o tubarão gosta dessa combinação? O cara ainda não sabe ao certo. Mas, segundo
ele, é provável que o fenômeno esteja ligado à habilidade dos tubarões em enxergarem contrastes. Não por
menos, a combinação de preto e amarelo também não se mostrou segura.
Além disso, Burgess constatou outras coisas interessantes (e outras nem tanto): a maioria dos
ataques acontece aos domingos (provavelmente porque é o dia em que a praia está mais cheia), a menos de
2 metros de profundidade (porque é onde a maioria das pessoas geralmente fica) e (isso sim é legal) durante
a Lua nova. “Isso porque as marés, afetadas pela Lua, trazem os peixes preferidos dos tubarões para mais
perto da costa”, diz o especialista.
Disponível em:https://super.abril.com.br/coluna/cienciamaluca/tubarões-preferem-banhistas-que-usam-preto-e-branco/ .
Acesso em: 13 jul. 2011

Provas
Questão presente nas seguintes provas
Cadernos
Caderno Container