Foram encontradas 50 questões.
3853101
Ano: 2025
Disciplina: Matemática Financeira
Banca: EDUCA
Orgão: Pref. Santa Cecília-PB
Disciplina: Matemática Financeira
Banca: EDUCA
Orgão: Pref. Santa Cecília-PB
Provas:
João investiu R$ 800,00 a juros compostos
mensais de 2%. Se ele pretende resgatar pelo
menos o dobro do valor investido, então que tempo
mínimo ele deverá aguardar para resgate desse
montante? (dados
log1,02 = 0,0086
e
log2 = 0,301
).
Provas
Questão presente nas seguintes provas
O polinômio
P(x) = x4 − mx3 −16x2 + 2x + n é
divisível pelo polinômio Q(x) = x2 −1. Logo, o
valor de
m× n
é:
Provas
Questão presente nas seguintes provas
Se o número 10368×5n tem seu conjunto de
divisores naturais com 120 elementos, então o
valor de n é:
Provas
Questão presente nas seguintes provas
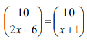
O conjunto solução S da equação binomial abaixo é:

Provas
Questão presente nas seguintes provas
Os extremos de uma progressão aritmética são 3
e 101, e a soma de todos os seus termos é igual a
2600. Então o valor da mediana dos termos dessa
progressão é:
Provas
Questão presente nas seguintes provas
A razão entre os volumes de um cubo cuja soma
das arestas é 48cm e de uma esfera com diâmetro
4cm (dado
π = 3)
é igual a:
Provas
Questão presente nas seguintes provas
A área da circunferência com centro em C(2,1) e
que passa por P(6,4) é:
Provas
Questão presente nas seguintes provas
João tem um antigo celular cuja senha é
composta por 5 caracteres distintos na forma
LALAA, onde L representa uma das 26 letras
minúsculas do alfabeto, e A um dos 10 algarismos.
Ele lembra-se apenas do primeiro e do último
caractere dessa senha. Nessas condições, o número
mínimo de tentativas para que João se assegure de
acertar a senha desse celular é:
Provas
Questão presente nas seguintes provas
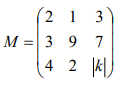
Observe a matriz quadrada M abaixo:

Para que M possua inversa devemos ter:
Provas
Questão presente nas seguintes provas
Um terreno à venda tem forma de triângulo
retângulo com maior lado igual a 17 metros, e
perímetro de 40 metros. O metro quadrado desse
terreno custa R$1.500,00. Logo, o preço desse
terreno é:
Provas
Questão presente nas seguintes provas
Cadernos
Caderno Container