Foram encontradas 40 questões.
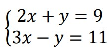
Considere o sistema linear abaixo e determine o par (x, y) que o satisfaz.

Provas
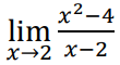
Considere a função racional f(x) = x 2− 4/x −2. Embora f(x)
não esteja definida em x = 2, é possível estudar o comportamento da função quando x se aproxima desse valor. Assim,
determine 
Provas
Considere o conjunto populacional: 2, 4, 8, 10. Em seguida, assinale a alternativa que contém CORRETAMENTE o valor da variância do conjunto.
Provas
Considerando um baralho comum, utilize os dados a seguir para calcular a probabilidade de retirar uma carta vermelha que seja figura. Em seguida, assinale a alternativa CORRETA.
⋅ Total de cartas = 52
⋅ Cartas vermelhas (copas e ouros) = 26
⋅ Figuras por naipe = 3
⋅ Total de figuras vermelhas = 6
Provas
Assinale a alternativa que contém CORRETAMENTE os arranjos simples de 6 elementos tomados 3 a 3.
Provas
Uma Progressão Geométrica tem a1 = 4 e razão q = 2. Com base nisso, assinale a alternativa que indica CORRETAMENTE a soma dos 6 primeiros termos.
Provas
Assinale a alternativa que contém CORRETAMENTE o produto das raízes de f(x) = x2 − 5x + 6.
Provas
Se A = {1,2,3,4,5} e B = {3,4,6,7}, assinale a alternativa que contém a resposta CORRETA para A - B.
Provas
Um cone possui geratriz 13 cm e raio 5 cm. Com base
nisso e considerando π
Provas
Provas
Caderno Container