Foram encontradas 30 questões.
3878354
Ano: 2025
Disciplina: Matemática
Banca: MS CONCURSOS
Orgão: Pref. Santana Parnaíba-SP
Disciplina: Matemática
Banca: MS CONCURSOS
Orgão: Pref. Santana Parnaíba-SP
Provas:
Uma criança ganhou um cofrinho e começou a guardar moedas de R$1,00 e
R$0,50, ele guardou todas as moedas desses valores que ganhou por 1 ano e após
esse período abriu o cofre e verificou que tinha guardado ao todo 325 moedas e o
total de R$220,00. Qual a quantidade de moedas de R$0,50 que ele guardou?
Provas
Questão presente nas seguintes provas
3878353
Ano: 2025
Disciplina: Matemática
Banca: MS CONCURSOS
Orgão: Pref. Santana Parnaíba-SP
Disciplina: Matemática
Banca: MS CONCURSOS
Orgão: Pref. Santana Parnaíba-SP
Provas:
Suponha que uma rodovia forme uma linha perfeitamente reta e passe pelos
pontos (3, 7) e (8, 12). A equação da reta que representa essa rodovia é dada por:
Provas
Questão presente nas seguintes provas
3878352
Ano: 2025
Disciplina: Matemática
Banca: MS CONCURSOS
Orgão: Pref. Santana Parnaíba-SP
Disciplina: Matemática
Banca: MS CONCURSOS
Orgão: Pref. Santana Parnaíba-SP
Provas:
Tendo em vista o número complexo z = – 6 + 6i, qual é a forma trigonométrica
desse número?
Provas
Questão presente nas seguintes provas
3878351
Ano: 2025
Disciplina: Matemática
Banca: MS CONCURSOS
Orgão: Pref. Santana Parnaíba-SP
Disciplina: Matemática
Banca: MS CONCURSOS
Orgão: Pref. Santana Parnaíba-SP
Provas:
Quantos múltiplos de 4 temos há entre os números 125 a 7859?
Provas
Questão presente nas seguintes provas
3878350
Ano: 2025
Disciplina: Matemática
Banca: MS CONCURSOS
Orgão: Pref. Santana Parnaíba-SP
Disciplina: Matemática
Banca: MS CONCURSOS
Orgão: Pref. Santana Parnaíba-SP
Provas:
Considere-se a função
definida por f(x) = e2x, a afirmação verdadeira
referente à função é:
Provas
Questão presente nas seguintes provas
3878349
Ano: 2025
Disciplina: Matemática
Banca: MS CONCURSOS
Orgão: Pref. Santana Parnaíba-SP
Disciplina: Matemática
Banca: MS CONCURSOS
Orgão: Pref. Santana Parnaíba-SP
Provas:
Para a construção de uma embalagem foi utilizado o modelo do prisma.
Qual a soma dos ângulos das faces desse prisma?
Qual a soma dos ângulos das faces desse prisma?
Provas
Questão presente nas seguintes provas
3878348
Ano: 2025
Disciplina: Matemática
Banca: MS CONCURSOS
Orgão: Pref. Santana Parnaíba-SP
Disciplina: Matemática
Banca: MS CONCURSOS
Orgão: Pref. Santana Parnaíba-SP
Provas:
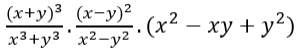
Se x=2025 e y=2024, calcule o valor da expressão:

Provas
Questão presente nas seguintes provas
3878347
Ano: 2025
Disciplina: Matemática
Banca: MS CONCURSOS
Orgão: Pref. Santana Parnaíba-SP
Disciplina: Matemática
Banca: MS CONCURSOS
Orgão: Pref. Santana Parnaíba-SP
Provas:
Qual o número de vértices que possui um poliedro convexo que contém 6 faces
triangulares e 9 hexagonais?
Provas
Questão presente nas seguintes provas
3878346
Ano: 2025
Disciplina: Matemática Financeira
Banca: MS CONCURSOS
Orgão: Pref. Santana Parnaíba-SP
Disciplina: Matemática Financeira
Banca: MS CONCURSOS
Orgão: Pref. Santana Parnaíba-SP
Provas:
Ao investir um valor a juros simples, resgatei no final de 6 anos o quíntuplo do
valor total. Qual foi, aproximadamente, a taxa de juros mensal, a que foi investido o
valor?
Provas
Questão presente nas seguintes provas
3878345
Ano: 2025
Disciplina: Matemática
Banca: MS CONCURSOS
Orgão: Pref. Santana Parnaíba-SP
Disciplina: Matemática
Banca: MS CONCURSOS
Orgão: Pref. Santana Parnaíba-SP
Provas:
Possuo 6 caixas de chocolates para distribuir entre 15 crianças de uma
comunidade carente numa festa. Se conseguir mais 4 caixas idênticas as primeiras
e mantiver a mesma quantidade de distribuição da primeira, para quantas crianças
no total conseguirei distribuir o chocolate?
Provas
Questão presente nas seguintes provas
Cadernos
Caderno Container