Foram encontradas 588 questões.
Disciplina: Matemática
Banca: Funatec
Orgão: Pref. Santo Amaro Maranhão-MA
Em um banco há dez lugares e dez pessoas para ocupa-los. Daniel e Nazaré são namorados e querem sempre sentar um ao lado do outro. De quantas formas distintas Daniel, Nazaré e as outras oito pessoas podem se organizar para sentar no banco, de forma que, o casal sempre fique juntos?
Provas
Disciplina: Matemática
Banca: Funatec
Orgão: Pref. Santo Amaro Maranhão-MA
Assinale corretamente a assertiva que representa a soma dos dígitos do seguinte número: (1010548 − 1)
Provas
Disciplina: Matemática
Banca: Funatec
Orgão: Pref. Santo Amaro Maranhão-MA
Em um lançamento de moeda, onde a mesma moeda é lançada três vezes consecutivas ao acaso, assinale de forma correta a probabilidade de sair uma cara (K) e duas coroas (C), independentemente da ordem.
Provas
Disciplina: Matemática
Banca: Funatec
Orgão: Pref. Santo Amaro Maranhão-MA
Observe o seguinte retângulo a seguir e assinale a assertiva que determina de forma correta a quinta parte do valor de X.

Provas
Disciplina: Matemática
Banca: Funatec
Orgão: Pref. Santo Amaro Maranhão-MA
Assinale de forma correta o que afirma o teorema de Tales de Mileto na geometria plana.
Provas
Disciplina: Matemática
Banca: Funatec
Orgão: Pref. Santo Amaro Maranhão-MA
Assinale a assertiva que apresenta de forma correta a determinação do cos 36°.
Provas
Disciplina: Matemática
Banca: Funatec
Orgão: Pref. Santo Amaro Maranhão-MA
Assinale a assertiva que apresenta corretamente a solução da seguinte equação exponencial logarítmica.
23x - 2 = 32x + 1
Provas
Disciplina: Matemática
Banca: Funatec
Orgão: Pref. Santo Amaro Maranhão-MA
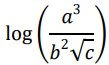
Assinale a assertiva que apresenta de forma correta a seguinte expressão logarítmica desenvolvida.

Provas
Disciplina: Matemática
Banca: Funatec
Orgão: Pref. Santo Amaro Maranhão-MA
Três amigos denominados X, Y e Z, decidiram abrir um empreendimento. Para formar o capital social, X contribuiu com R$ 30.000,00, Y participou com R$ 40.000,00 e Z com R$ 50.000,00. Após 6 meses em atividade o empreendimento gerou um lucro de R$ 24.000,00. Eles decidiram dividir esse lucro de forma diretamente proporcional a participação de cada um no capital da empresa. Assinale a assertiva que apresenta de forma correta o valor recebido por X, Y e Z, respectivamente.
Provas
Provas
Caderno Container