Magna Concursos

Foram encontradas 60 questões.

3603275 Ano: 2025
Disciplina: Matemática
Banca: CETREDE
Orgão: Pref. São Benedito-CE
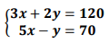
Rafael, um economista, está analisando o sistema de equações que modela o equilíbrio de mercado entre a oferta e a demanda de dois produtos em uma empresa de calçados. O sistema é dado por

Enunciado 4243859-1

Considerando que x e y representam as quantidades dos produtos, quais são, respectivamente, as quantidades de equilíbrio?
 

Provas

Questão presente nas seguintes provas
3603274 Ano: 2025
Disciplina: Matemática
Banca: CETREDE
Orgão: Pref. São Benedito-CE
Giúlia, uma arquiteta, está projetando um jardim triangular para o parque central de Bumgard. Se os lados do triângulo medem 8 metros, 15 metros e 17 metros, ela deve planejar um espaço para um triângulo
 

Provas

Questão presente nas seguintes provas
3603273 Ano: 2025
Disciplina: Matemática
Banca: CETREDE
Orgão: Pref. São Benedito-CE
A cidade de Mathcity está crescendo de forma que a população, a cada ano, forma uma progressão aritmética. Se a população no ano de 2020 era de 5.000 e aumentou para 5.400 no ano seguinte, qual será a população da cidade no ano de 2026?
 

Provas

Questão presente nas seguintes provas
3603272 Ano: 2025
Disciplina: Matemática
Banca: CETREDE
Orgão: Pref. São Benedito-CE
No bioma de Bumflora, as temperaturas diárias oscilam de acordo com a lei T (h) = −2h2 + 4h + 20, onde T(h) é a temperatura em graus Celsius e h é o número de horas após o nascer do sol, que ocorre às 6h da manhã. Com a intensão de proteger as plantas sensíveis do jardim botânico local, o biólogo João precisa saber: A que horas a Bumflora experimentará a temperatura mais alta após o nascer do sol e antes do pôr do sol, às 18 horas?
 

Provas

Questão presente nas seguintes provas
3603271 Ano: 2025
Disciplina: Raciocínio Lógico
Banca: CETREDE
Orgão: Pref. São Benedito-CE
Na cidade de Bumgard, uma pesquisa revelou que de cem habitantes, setenta gostam de fazer caminhada na rua, enquanto quarenta e cinco preferem fazer caminhada na esteira. Considerando que todos os habitantes da cidade caminham, quantas pessoas, no mínimo, gostam de caminhar tanto na rua quanto na esteira?
 

Provas

Questão presente nas seguintes provas
3603270 Ano: 2025
Disciplina: Raciocínio Lógico
Banca: CETREDE
Orgão: Pref. São Benedito-CE

Analise os símbolos a seguir.

⊃ ∃ ∈ ∩

Marque a opção que apresenta sequência CORRETA dos símbolos.

 

Provas

Questão presente nas seguintes provas
3603269 Ano: 2025
Disciplina: Matemática
Banca: CETREDE
Orgão: Pref. São Benedito-CE
Sabendo que os ângulos m e n são suplementares e que o ângulo m possui 47º, qual é a medida de n?
 

Provas

Questão presente nas seguintes provas
3603268 Ano: 2025
Disciplina: Matemática
Banca: CETREDE
Orgão: Pref. São Benedito-CE
Das afirmações a seguir, NÃO é uma característica das funções afim.
 

Provas

Questão presente nas seguintes provas
3603267 Ano: 2025
Disciplina: Matemática
Banca: CETREDE
Orgão: Pref. São Benedito-CE
Analise a equação, 2x2 − 5x − 3 = 0, e assinale a alternativa INCORRETA.
 

Provas

Questão presente nas seguintes provas
3603266 Ano: 2025
Disciplina: Matemática
Banca: CETREDE
Orgão: Pref. São Benedito-CE
Considere a função f (x) = xbc. Determine os valores de b e c, sabendo que f (5) = 10 e f (2) = 1. A resposta CORRETA, está na opção
 

Provas

Questão presente nas seguintes provas