Magna Concursos

Foram encontradas 680 questões.

286618 Ano: 2019
Disciplina: Matemática
Banca: CESPE / CEBRASPE
Orgão: Pref. São Cristóvão-SE

Tendo como referência as funções f(x) = x2 – 5x + 4 e g(x) = x2 – 3, em que –∞ < x < + ∞, julgue os itens que se seguem.

No sistema de coordenadas cartesianas ortogonais xOy, os gráficos das funções y = ƒ(x) e y = g(x) se interceptam no ponto de coordenadas (7/5, –26/25).

 

Provas

Questão presente nas seguintes provas
286617 Ano: 2019
Disciplina: Matemática
Banca: CESPE / CEBRASPE
Orgão: Pref. São Cristóvão-SE

Tendo como referência as funções f(x) = x2 – 5x + 4 e g(x) = x2 – 3, em que –∞ < x < + ∞, julgue os itens que se seguem.

No intervalo Enunciado 286617-1.

 

Provas

Questão presente nas seguintes provas
286616 Ano: 2019
Disciplina: Matemática
Banca: CESPE / CEBRASPE
Orgão: Pref. São Cristóvão-SE

Tendo como referência as funções f(x) = x2 – 5x + 4 e g(x) = x2 – 3, em que –∞ < x < + ∞, julgue os itens que se seguem.

A função f(x) é decrescente no intervalo (–∞, 5/2] e crescente no intervalo [5/2, +∞).

 

Provas

Questão presente nas seguintes provas
286615 Ano: 2019
Disciplina: Matemática
Banca: CESPE / CEBRASPE
Orgão: Pref. São Cristóvão-SE

Tendo como referência as funções f(x) = x2 – 5x + 4 e g(x) = x2 – 3, em que –∞ < x < + ∞, julgue os itens que se seguem.

A função g(x) é ímpar.

 

Provas

Questão presente nas seguintes provas
286614 Ano: 2019
Disciplina: Matemática
Banca: CESPE / CEBRASPE
Orgão: Pref. São Cristóvão-SE

Julgue os próximos itens, relativos a funções exponenciais.

Se ƒ(x) = lnx e g(x) = |x|, então a função composta ƒ°g está definida para todos os números reais.

 

Provas

Questão presente nas seguintes provas
286613 Ano: 2019
Disciplina: Matemática
Banca: CESPE / CEBRASPE
Orgão: Pref. São Cristóvão-SE

Julgue os próximos itens, relativos a funções exponenciais.

Para a > 0 e a ≠ 1, a função ƒ(x) = ax pode também ser expressa como ƒ(x) = exlna.

 

Provas

Questão presente nas seguintes provas
286612 Ano: 2019
Disciplina: Matemática
Banca: CESPE / CEBRASPE
Orgão: Pref. São Cristóvão-SE

Julgue os próximos itens, relativos a funções exponenciais.

Para x > 0, a função ƒ(x) = lnx, em que a inversa é g(x) = ex, é tal que x = eƒ(x) = lng(x).

 

Provas

Questão presente nas seguintes provas
286611 Ano: 2019
Disciplina: Matemática
Banca: CESPE / CEBRASPE
Orgão: Pref. São Cristóvão-SE

Julgue os próximos itens, relativos a funções exponenciais.

As funções exponenciais ƒ(x) = 2x e g(x) = 0,5x são crescentes e as suas imagens coincidem com o conjunto de todos os números reais positivos.

 

Provas

Questão presente nas seguintes provas
286610 Ano: 2019
Disciplina: Matemática
Banca: CESPE / CEBRASPE
Orgão: Pref. São Cristóvão-SE

Acerca de funções reais de variáveis reais, julgue os itens subsequentes.

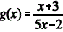
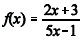
O domínio da função Enunciado 286610-1 é o conjunto dos números reais diferentes de 1/5. Nesse conjunto, a função ƒ(x) é bijetiva e a sua inversa, g(x), é expressa por Enunciado 286610-2, definida para todo número real x tal que Enunciado 286610-3.

 

Provas

Questão presente nas seguintes provas
286609 Ano: 2019
Disciplina: Matemática
Banca: CESPE / CEBRASPE
Orgão: Pref. São Cristóvão-SE

Acerca de funções reais de variáveis reais, julgue os itens subsequentes.

Se ƒ(x) = x2 e g(x) = 2x, então as funções compostas ƒ°g e g°ƒ são tais que (ƒ°g)(x) = (g°f)(x) = 2x2.

 

Provas

Questão presente nas seguintes provas