Foram encontradas 40 questões.
A convergência de séries e sequências é um
assunto central da análise matemática.
Considere a sequência dada por:
Assinale a alternativa útil para a análise da convergência desta sequência e o valor de n, a partir do qual a condição se verifica.
Assinale a alternativa útil para a análise da convergência desta sequência e o valor de n, a partir do qual a condição se verifica.
Provas
Questão presente nas seguintes provas
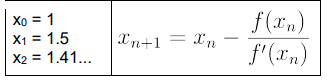
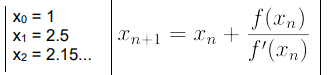
O método de Newton é um algoritmo muito
eficiente para obtenção numérica de raízes de
equações f(x) =0, utilizando-se a derivada f'(x)
localmente calculada sobre a sequência de
valores de x.

Fonte: Computer-Aided Design and Analysis of a Three-Pole Radial Magnetic Bearing - Scientific Figure on ResearchGate.https://www.researchgate.net/figure/Thegeometrical-construction-of-Newton-Raphsonmethod_fig5_266091369
Assinale a alternativa que apresenta a equação que permite construir a sequência de valores {xn} que caracteriza o método de Newton e o valor dos três primeiros termos desta sequência para as raízes da função f(x) = x2 - 2

Fonte: Computer-Aided Design and Analysis of a Three-Pole Radial Magnetic Bearing - Scientific Figure on ResearchGate.https://www.researchgate.net/figure/Thegeometrical-construction-of-Newton-Raphsonmethod_fig5_266091369
Assinale a alternativa que apresenta a equação que permite construir a sequência de valores {xn} que caracteriza o método de Newton e o valor dos três primeiros termos desta sequência para as raízes da função f(x) = x2 - 2
Provas
Questão presente nas seguintes provas
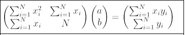
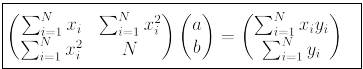
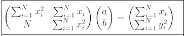
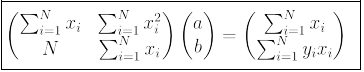
O método dos mínimos quadrados de um
conjunto de dados (xi, yi), com uma reta como
função modelo (regressão linear), y = ax +b, é
construído a partir da função erro quadrático
E(a,b):
E(a,b) deve ser minimizada para os parâmetros a e b, permitindo que se obtenha duas equações lineares em termos dos parâmetros a e b.
Assinale a alternativa que apresenta a equação matricial cuja solução leva aos parâmetros a e b adequados.
E(a,b) deve ser minimizada para os parâmetros a e b, permitindo que se obtenha duas equações lineares em termos dos parâmetros a e b.
Assinale a alternativa que apresenta a equação matricial cuja solução leva aos parâmetros a e b adequados.
Provas
Questão presente nas seguintes provas
Em caráter de estudo, uma pessoa resolve
implementar o método de mínimos quadrados
de maneira explícita em uma planilha, para
obtenção dos parâmetros a e b da regressão
linear em dados gerados em uma planilha yi
que apresentam correlação linear com a
variável xi.
Na tabela para todos os pares (xi,yi) a função E(a,b) abaixo é calculada.
Tabela: Superfície E(a,b) tabelada para uma discretização nos parâmetros a e b.
Assinale a alternativa que apresenta a melhor aproximação para os parâmetros a e b que definem a reta que melhor modela os dados de acordo com essa análise.
Na tabela para todos os pares (xi,yi) a função E(a,b) abaixo é calculada.
Tabela: Superfície E(a,b) tabelada para uma discretização nos parâmetros a e b.
Assinale a alternativa que apresenta a melhor aproximação para os parâmetros a e b que definem a reta que melhor modela os dados de acordo com essa análise.
Provas
Questão presente nas seguintes provas
O gráfico abaixo apresenta o valor de
fechamento diário das ações preferenciais da
empresa Braskem SA (linha cinza) negociadas
na Bovespa, em um período recente. Sobre o
gráfico são adicionadas três médias móveis
aritméticas representadas por linhas escuras
(L1, L2 e L3).
As médias móveis têm três períodos diferentes de 10, 20 e 50. Identifique a alternativa que corretamente identifica as médias móveis L1, L2 e L3 em termos dos seus períodos.
As médias móveis têm três períodos diferentes de 10, 20 e 50. Identifique a alternativa que corretamente identifica as médias móveis L1, L2 e L3 em termos dos seus períodos.
Provas
Questão presente nas seguintes provas
Um dos problemas mais comuns para o
emprego de análise multivariada é o problema
de agrupamento - 'clustering' de dados
estruturados a partir de uma métrica.
Considere os pontos descritos pelo par de
variáveis aleatórias (x, y) usadas para
classificar um determinado grupo de objetos.
Os agrupamentos são testados utilizando-se a métrica (M),
onde n é o número de agrupamentos e Dj é uma medida de dispersão do j-ésimo grupo em relação ao centróide (xcj, ycj) de cada grupo.
Considera-se a melhor combinação de agrupamentos aquela que tem o maior valor para a métrica.
Foram escolhidas duas formas agrupar esses pontos: (A) com dois agrupamentos (n=2); e (B) com três agrupamentos (n=3). A tabela abaixo apresenta os agrupamentos escolhidos e os valores aproximados para a dispersão Dj em cada caso.
Assinale a alternativa que apresenta a melhor forma de agrupamento dentro dessa métrica e o valor aproximado para a métrica.
Os agrupamentos são testados utilizando-se a métrica (M),
onde n é o número de agrupamentos e Dj é uma medida de dispersão do j-ésimo grupo em relação ao centróide (xcj, ycj) de cada grupo.
Considera-se a melhor combinação de agrupamentos aquela que tem o maior valor para a métrica.
Foram escolhidas duas formas agrupar esses pontos: (A) com dois agrupamentos (n=2); e (B) com três agrupamentos (n=3). A tabela abaixo apresenta os agrupamentos escolhidos e os valores aproximados para a dispersão Dj em cada caso.
Assinale a alternativa que apresenta a melhor forma de agrupamento dentro dessa métrica e o valor aproximado para a métrica.
Provas
Questão presente nas seguintes provas
Uma pesquisa será realizada com amostragem
aleatória estratificada entre os consumidores
de dois produtos, A e B. As classes de
estratificação são definidas como: “ter
consumido apenas o produto A”, “ter
consumido apenas o produto B”, “ter
consumido ambos” ou “não ter consumido
nenhum deles”.
A proporção de estratificação é definida em pesquisa anterior (também feita com amostragem estratificada na população utilizando outras quantidades fundamentada em pesquisa oficial sobre a população local). Nesta pesquisa prévia em universo de 1000 pessoas segue a tabela abaixo preenchida pelo entrevistador com a contagem de pessoas.
*Não exclusivamente
Para a pesquisa principal, com consulta de 2000 pessoas, assinale então a alternativa que apresenta o número correto de pessoas que devem ser incluídas por estrato definido.
A proporção de estratificação é definida em pesquisa anterior (também feita com amostragem estratificada na população utilizando outras quantidades fundamentada em pesquisa oficial sobre a população local). Nesta pesquisa prévia em universo de 1000 pessoas segue a tabela abaixo preenchida pelo entrevistador com a contagem de pessoas.
*Não exclusivamente
Para a pesquisa principal, com consulta de 2000 pessoas, assinale então a alternativa que apresenta o número correto de pessoas que devem ser incluídas por estrato definido.
Provas
Questão presente nas seguintes provas
Uma pessoa decide fazer um exemplo de teste
de hipóteses em uma planilha e com o gerador
de números aleatórios produz três sequências
de 10 números entre 0 e 1 - Tabela A - que
chamou de exp. 1, exp. 2 e exp. 3.
Tabela A: três sequências (exp. 1, exp. 2 e exp. 3) com 10 sorteios aleatórios em {0,1}; Tabela B: Distribuição binomial para n=10 sorteios com p = 0,5.
Sejam as hipóteses sob a probabilidade de obter o valor 0:
H0: p é igual a 0,5
H1: p diferente de 0,5
Despreze as limitações de tamanho de amostra e utilizando a distribuição binomial, Figura B, para realizar o teste de hipóteses. Considerando um nível de significância de 0,11 aplicado a cada sequência (exp. 1, exp. 2 e exp.3) em teste bilateral, assinale a alternativa que apresenta o julgamento correto deste teste de hipóteses.
Tabela A: três sequências (exp. 1, exp. 2 e exp. 3) com 10 sorteios aleatórios em {0,1}; Tabela B: Distribuição binomial para n=10 sorteios com p = 0,5.
Sejam as hipóteses sob a probabilidade de obter o valor 0:
H0: p é igual a 0,5
H1: p diferente de 0,5
Despreze as limitações de tamanho de amostra e utilizando a distribuição binomial, Figura B, para realizar o teste de hipóteses. Considerando um nível de significância de 0,11 aplicado a cada sequência (exp. 1, exp. 2 e exp.3) em teste bilateral, assinale a alternativa que apresenta o julgamento correto deste teste de hipóteses.
Provas
Questão presente nas seguintes provas
A depender da seriedade das implicações de
erros do Tipo-I (rejeição da hipótese nula, H0,
sendo ela verdadeira - também chamado de
“falso positivo”) opta-se à priori pelos
diferentes níveis de significância no teste de
hipóteses. Assim, nos diferentes ramos das
ciências e da atividade humana em geral se
encontram diversos valores para o nível de
significância.
Consideremos o caso da física de partículas onde a descoberta do Bóson de Higgs, no laboratório CERN com sede em Genebra em 4 de julho de 2012, foi emblemático. No conjunto de dados dos experimentos ATLAS e CMS que resultou na descoberta, a probabilidade de erro do Tipo-I (H0: não foi detectado o Bóson de Higgs) é de aproximadamente 1 em 3,5 milhões de testes experimentais. O teste de hipótese empregado neste caso é unilateral direito na distribuição normal para o nível de significância.
Figura: Tabela normal da probabilidade cumulativa para resultados acima da variável reduzida, z = (Z - média)/σ. A variável z está em unidades do desvio padrão, σ.
Utilizando a tabela normal acima, assinale a alternativa que indica a faixa, em unidades de desvio padrão (σ) em torno da média, que se utilizou no teste de hipóteses para definir o nível de significância.
Consideremos o caso da física de partículas onde a descoberta do Bóson de Higgs, no laboratório CERN com sede em Genebra em 4 de julho de 2012, foi emblemático. No conjunto de dados dos experimentos ATLAS e CMS que resultou na descoberta, a probabilidade de erro do Tipo-I (H0: não foi detectado o Bóson de Higgs) é de aproximadamente 1 em 3,5 milhões de testes experimentais. O teste de hipótese empregado neste caso é unilateral direito na distribuição normal para o nível de significância.
Figura: Tabela normal da probabilidade cumulativa para resultados acima da variável reduzida, z = (Z - média)/σ. A variável z está em unidades do desvio padrão, σ.
Utilizando a tabela normal acima, assinale a alternativa que indica a faixa, em unidades de desvio padrão (σ) em torno da média, que se utilizou no teste de hipóteses para definir o nível de significância.
Provas
Questão presente nas seguintes provas
2106414
Ano: 2021
Disciplina: Raciocínio Lógico
Banca: IBFC
Orgão: Pref. São Gonçalo Amarante-RN
Disciplina: Raciocínio Lógico
Banca: IBFC
Orgão: Pref. São Gonçalo Amarante-RN
Provas:
A figura abaixo representa o diagrama de Venn
para os conjuntos A, B, C e D.

Assinale a alternativa que representa a região acinzentada.

Assinale a alternativa que representa a região acinzentada.
Provas
Questão presente nas seguintes provas
Cadernos
Caderno Container