Foram encontradas 40 questões.
2106413
Ano: 2021
Disciplina: Raciocínio Lógico
Banca: IBFC
Orgão: Pref. São Gonçalo Amarante-RN
Disciplina: Raciocínio Lógico
Banca: IBFC
Orgão: Pref. São Gonçalo Amarante-RN
Provas:
O estudo formal de proposições em termos da
lógica proposicional é realizado em termos de
tabelas-verdade.
“As tabelas-verdade derivam do trabalho de
Gottlob Frege, Charles Peirce e outros nomes da
década de 1880, e tomaram a forma atual em 1922
através dos trabalhos de Emil Post e Ludwig
Wittgenstein. A publicação do Tractatus LogicoPhilosophicus, de Wittgenstein, utilizava as mesmas
para classificar funções veritativas em uma série. A
vasta influência de seu trabalho levou, então, à difusão
do uso de tabelas-verdade.” Fonte: wikipedia, “Tabela-verdade”.
Em uma tabela-verdade cada proposição
simples individual é organizada em uma coluna
e recebe valor verdadeiro (V) ou falso (F) a cada
linha. Em uma última coluna se elenca o
resultado lógico vindo da regra lógica definida
pelos conectivos, para cada uma das linhas.
Considere uma proposição composta por
proposições simples:
“Se João mora aqui, então ele é rico, e, se ele
é rico, então tem mais de um carro, e, se ele tem mais
de um carro, então ele tem carros com placas
diferentes, e não depende da regra de rodízios de carro
do município.”
Assinale a alternativa que indica o número de
linhas de uma tabela-verdade que contenha a
avaliação desta proposição composta.
Provas
Questão presente nas seguintes provas
2106412
Ano: 2021
Disciplina: Raciocínio Lógico
Banca: IBFC
Orgão: Pref. São Gonçalo Amarante-RN
Disciplina: Raciocínio Lógico
Banca: IBFC
Orgão: Pref. São Gonçalo Amarante-RN
Provas:
Sejam duas proposições lógicas simples: A e
B, e a representação simbólica para a negação
e os conectivos lógicos abaixo listadas:

Considere as proposições enumeradas:
I. A ∧ ~A II. (A ∧ B) ∨ ~ (A ∧ B) III. (A → B) ↔ (~ B → ~A)
Uma tautologia é uma proposição lógica que pode apenas assumir valores-verdade verdadeiros (V), uma antinomia é a negação de uma tautologia, e, portanto, é uma proposição composta em que resulta apenas em valores lógicos falsos (F). Assinale a alternativa que corretamente classifica as proposições completas enumeradas nesses termos.

Considere as proposições enumeradas:
I. A ∧ ~A II. (A ∧ B) ∨ ~ (A ∧ B) III. (A → B) ↔ (~ B → ~A)
Uma tautologia é uma proposição lógica que pode apenas assumir valores-verdade verdadeiros (V), uma antinomia é a negação de uma tautologia, e, portanto, é uma proposição composta em que resulta apenas em valores lógicos falsos (F). Assinale a alternativa que corretamente classifica as proposições completas enumeradas nesses termos.
Provas
Questão presente nas seguintes provas
O número 1/3 (um terço) em representação
decimal assume a forma: 0,33333… com uma
infinidade de casas decimais seguintes
(repetitivas) com o algarismo 3. Considere o
seguinte procedimento para descobrir o par de
números que forma uma dízima periódica
baseado em uma sequência de operações
aritméticas rudimentares e no encadeamento
lógico sequencial:
N = 0,33333... ⇒ 10N = 3,333333 ⇒ 10N - N = 3 ⇒ 9N = 3 ⇒ N = 3/9 ⇒ N = 1/3 Baseado neste procedimento, analise as
afirmativas abaixo e dê valores Verdadeiro (V)
ou Falso (F). ( ) 0,999999… = 1
( ) 0,1 + 0,01 + 0,001 + … = 1/9
( ) Um número que não exibe repetição como:
0,123456789101112131415… (onde se
encadeiam os inteiros crescentes ao longo de
suas casas decimais) pode ter a fração
determinada da mesma maneira.
Assinale a alternativa que avalia corretamente as afirmações acima em termos da mesma lógica apresentada no procedimento.
Assinale a alternativa que avalia corretamente as afirmações acima em termos da mesma lógica apresentada no procedimento.
Provas
Questão presente nas seguintes provas
Em uma rede social dois amigos, Fernando e
Roberto, analisam sua rede de amigos.
Fernando tem 2120 amigos, enquanto Roberto
tem 580 amigos. A rede completa de amigos de
um, de outro ou ambos tem 2550 pessoas.
Considere dois cenários: C1: dado que a pessoa é amiga de Roberto, qual
a chance dela ser amiga também de Fernando?
C2: dado que a pessoa é amiga de Fernando, qual
a chance dela ser amiga também de Roberto?
Assinale a alternativa que melhor aproxima o
valor da resposta de cada pergunta elencada
nos cenários acima.
Provas
Questão presente nas seguintes provas
Leia o texto abaixo para responder à questão.
Guerra de narrativas (adaptado)
Quando o sol parte e ficamos entretidos ao
redor da fogueira ou de frente à telinha, passamos a
uma dimensão em que é tênue a fronteira entre o real
e o imaginário, o território dos mitos, as sutis
engrenagens do nosso modelo social. Esse ritual
repete-se há pelo menos 50 mil anos. E, como é da
natureza do que é fundamental, histórias são simples.
Todas têm começo, meio e fim; personagens e
protagonistas; um cenário e um tempo. E mais: toda
trama possui um narrador, alguém que escolhe que
causo contar, onde o enredo começa e onde termina, o
que entra e o que sai. Esse narrador nem sempre é
visível, não há como apontar o autor de um mito ou do
que entendemos como senso comum.
Repetimos a balela do descobrimento da
América sem pensar que aqui já viviam pessoas antes
da invasão europeia. Se o uso da linguagem amplifica
a capacidade de colaboração, histórias determinam e
influenciam o comportamento social. Se repetimos a
narrativa de opressão, perpetuamos sua essência.
A habilidade narrativa determina quem tem voz.
A tensão entre grupos em disputa pela narrativa é tão
velha quanto a linguagem. Religiões e impérios sempre
espalharam suas falas e disputaram a atenção.
Identificar essas narrativas e a quem servem é o
caminho para delimitar quem nos fala e inferir o que nos
isola ou ajuda a colaborar.
Não existe narrador isento. Por mais cuidadoso
que seja, cada um carrega seu conjunto de valores e é
perpassado pelos julgamentos e assunções que vêm
com a cultura do grupo. Mesmo que não tenha
mensagem específica, o contador de histórias sempre
parte de sua visão de mundo.
https://vidasimples.co/conviver/guerra-de-narrativas/
Provas
Questão presente nas seguintes provas
- SintaxeTermos Essenciais da Oração
- SintaxeFrase, Oração e PeríodoOração SubordinadaSubordinada Adjetiva
- SintaxeFrase, Oração e PeríodoOração SubordinadaSubordinadas Adverbial
Leia o texto abaixo para responder à questão.
Guerra de narrativas (adaptado)
Quando o sol parte e ficamos entretidos ao
redor da fogueira ou de frente à telinha, passamos a
uma dimensão em que é tênue a fronteira entre o real
e o imaginário, o território dos mitos, as sutis
engrenagens do nosso modelo social. Esse ritual
repete-se há pelo menos 50 mil anos. E, como é da
natureza do que é fundamental, histórias são simples.
Todas têm começo, meio e fim; personagens e
protagonistas; um cenário e um tempo. E mais: toda
trama possui um narrador, alguém que escolhe que
causo contar, onde o enredo começa e onde termina, o
que entra e o que sai. Esse narrador nem sempre é
visível, não há como apontar o autor de um mito ou do
que entendemos como senso comum.
Repetimos a balela do descobrimento da
América sem pensar que aqui já viviam pessoas antes
da invasão europeia. Se o uso da linguagem amplifica
a capacidade de colaboração, histórias determinam e
influenciam o comportamento social. Se repetimos a
narrativa de opressão, perpetuamos sua essência.
A habilidade narrativa determina quem tem voz.
A tensão entre grupos em disputa pela narrativa é tão
velha quanto a linguagem. Religiões e impérios sempre
espalharam suas falas e disputaram a atenção.
Identificar essas narrativas e a quem servem é o
caminho para delimitar quem nos fala e inferir o que nos
isola ou ajuda a colaborar.
Não existe narrador isento. Por mais cuidadoso
que seja, cada um carrega seu conjunto de valores e é
perpassado pelos julgamentos e assunções que vêm
com a cultura do grupo. Mesmo que não tenha
mensagem específica, o contador de histórias sempre
parte de sua visão de mundo.
https://vidasimples.co/conviver/guerra-de-narrativas/
Provas
Questão presente nas seguintes provas
Assinale a alternativa que apresenta o uso
correto do acento grave, indicador de crase.
Provas
Questão presente nas seguintes provas
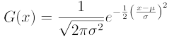
A densidade de probabilidade associada à
distribuição normal (gaussiana) é dada por:
Assinale a alternativa que apresenta o par ordenado (x, y) do máximo dessa distribuição para a esperança matemática nula e o desvio padrão igual (2/π)1/2.
Assinale a alternativa que apresenta o par ordenado (x, y) do máximo dessa distribuição para a esperança matemática nula e o desvio padrão igual (2/π)1/2.
Provas
Questão presente nas seguintes provas
Um problema clássico de otimização, subárea
da pesquisa operacional, foi proposto em 1968
pelo matemático alemão Dietrich Braess.
Suponha que haja dois caminhos (vias) entre o
início e o fim de um percurso percorrido por
automóveis: “início-A-final” e “início-B-final”,
conforme representado no diagrama.
Os tempos nos trechos “início-A” e no trecho “B-final” dependem do número de veículos, N, naquela via. Nos trechos “início-B” e “A-final” os tempos são fixos em 60 minutos. Supondo que entrem nas vias 1600 veículos em uma condição de equilíbrio no qual ambos caminhos estão com o mesmo número de veículos, então: N = 800.
Em um certo momento, entretanto, passa a haver a possibilidade de um novo caminho aberto entre A e B, habilitando o percurso “início-A-B-final”, os motoristas alertados pelo menor tempo no trecho “B-final” estabelecido no equilíbrio podem optar pela mudança de via, numa escolha individualista. Desconsidere o tempo desta mudança A-B.
Analise as afirmativas abaixo e dê valores Verdadeiro (V) ou Falso (F).
( ) Na condição de equilíbrio inicial, com total de 1600 veículos nas vias, o tempo de percurso é de 100 minutos.
( ) Se todos os veículos que estão em A mudam de via para realizar o trecho “B-final”, atraídos pelo menor tempo, então o tempo total de todos aumentará em relação ao equilíbrio inicial.
( ) Se todos os veículos que entram na via optarem pelo trecho “início-A”, então vai aumentar o tempo de trânsito de todos em relação ao equilíbrio inicial.
( ) O pior caminho de todos é o caminho “início-AB-final” se percorrido por todos os veículos.
Assinale a alternativa que apresenta a sequência correta de cima para baixo.
Os tempos nos trechos “início-A” e no trecho “B-final” dependem do número de veículos, N, naquela via. Nos trechos “início-B” e “A-final” os tempos são fixos em 60 minutos. Supondo que entrem nas vias 1600 veículos em uma condição de equilíbrio no qual ambos caminhos estão com o mesmo número de veículos, então: N = 800.
Em um certo momento, entretanto, passa a haver a possibilidade de um novo caminho aberto entre A e B, habilitando o percurso “início-A-B-final”, os motoristas alertados pelo menor tempo no trecho “B-final” estabelecido no equilíbrio podem optar pela mudança de via, numa escolha individualista. Desconsidere o tempo desta mudança A-B.
Analise as afirmativas abaixo e dê valores Verdadeiro (V) ou Falso (F).
( ) Na condição de equilíbrio inicial, com total de 1600 veículos nas vias, o tempo de percurso é de 100 minutos.
( ) Se todos os veículos que estão em A mudam de via para realizar o trecho “B-final”, atraídos pelo menor tempo, então o tempo total de todos aumentará em relação ao equilíbrio inicial.
( ) Se todos os veículos que entram na via optarem pelo trecho “início-A”, então vai aumentar o tempo de trânsito de todos em relação ao equilíbrio inicial.
( ) O pior caminho de todos é o caminho “início-AB-final” se percorrido por todos os veículos.
Assinale a alternativa que apresenta a sequência correta de cima para baixo.
Provas
Questão presente nas seguintes provas
2077221
Ano: 2021
Disciplina: Raciocínio Lógico
Banca: IBFC
Orgão: Pref. São Gonçalo Amarante-RN
Disciplina: Raciocínio Lógico
Banca: IBFC
Orgão: Pref. São Gonçalo Amarante-RN
Provas:
Uma pessoa pretende assentar uma fileira
ladrilhos idênticos, mas deseja colocá-los de
acordo com um padrão fixo de rotações
sequenciais para variar o padrão básico/
imagem formada com a simples colocação
deles na mesma direção. Abaixo, a esquerda,
está a peça do ladrilho e, a direita, as três
primeiras peças assentadas.

Assinale a alternativa que indica a imagem do quarto ladrilhos colocado à direita que corresponde ao padrão que estava sendo adotado nas três peças colocadas anteriormente.

Assinale a alternativa que indica a imagem do quarto ladrilhos colocado à direita que corresponde ao padrão que estava sendo adotado nas três peças colocadas anteriormente.
Provas
Questão presente nas seguintes provas
Cadernos
Caderno Container