Foram encontradas 50 questões.
Considere o texto para responder à questão.
A irregularidade fundiária coloca-se como problema histórico na ocupação do território brasileiro. O mero apossamento de fato da terra nos períodos colonial, imperial e republicano é continuamente rejeitado para receber uma tutela normativamente rígida e executivamente negligente por parte do Estado. [...] Séculos mais tarde, a transição do Brasil de um país rural para urbano até o final dos anos 60 não alterou essa realidade, mantendo-se a segregação socioespacial e os óbices ao exercício da cidadania. [...] Em 2002, o Banco Mundial indicava que 70% dentre um milhão de moradias construídas no país eram ilegais [...]. O país até hoje tem dificuldades em estimar a população residente em assentamentos irregulares urbanos. O Instituto Brasileiro de Geografia e Estatística (IBGE) subdimensiona a situação fundiária da moradia nas informações censitárias, “uma vez que moradores de favelas e loteamentos irregulares se autodeclaram proprietários” [...]. Tampouco são suficientemente publicizados dados dos cadastros imobiliários municipais ou federais, bem como dados registrais. Além disso, o problema extrapola as metrópoles do país, ocorrendo também nas médias e pequenas cidades. [...] A irregularidade fundiária e sua escala – ainda que desconhecida com precisão – indicam não ser “mero sintoma de modelo de desenvolvimento, mas o modelo ele mesmo.”
(ALMEIDA, Guadalupe M. J. Abib de et al. A política nacional de regularização fundiária: capacidades institucionais dos municípios na implementação do Programa Federal Papel Passado e suas implicações na gestão do território. v. 17 n. 1 (2017): Anais do XVII ENANPUR)
Com relação ao texto, é correto afirmar que os autores
A irregularidade fundiária coloca-se como problema histórico na ocupação do território brasileiro. O mero apossamento de fato da terra nos períodos colonial, imperial e republicano é continuamente rejeitado para receber uma tutela normativamente rígida e executivamente negligente por parte do Estado. [...] Séculos mais tarde, a transição do Brasil de um país rural para urbano até o final dos anos 60 não alterou essa realidade, mantendo-se a segregação socioespacial e os óbices ao exercício da cidadania. [...] Em 2002, o Banco Mundial indicava que 70% dentre um milhão de moradias construídas no país eram ilegais [...]. O país até hoje tem dificuldades em estimar a população residente em assentamentos irregulares urbanos. O Instituto Brasileiro de Geografia e Estatística (IBGE) subdimensiona a situação fundiária da moradia nas informações censitárias, “uma vez que moradores de favelas e loteamentos irregulares se autodeclaram proprietários” [...]. Tampouco são suficientemente publicizados dados dos cadastros imobiliários municipais ou federais, bem como dados registrais. Além disso, o problema extrapola as metrópoles do país, ocorrendo também nas médias e pequenas cidades. [...] A irregularidade fundiária e sua escala – ainda que desconhecida com precisão – indicam não ser “mero sintoma de modelo de desenvolvimento, mas o modelo ele mesmo.”
(ALMEIDA, Guadalupe M. J. Abib de et al. A política nacional de regularização fundiária: capacidades institucionais dos municípios na implementação do Programa Federal Papel Passado e suas implicações na gestão do território. v. 17 n. 1 (2017): Anais do XVII ENANPUR)
Com relação ao texto, é correto afirmar que os autores
Provas
Questão presente nas seguintes provas
Os espaços livres de uma cidade são
Provas
Questão presente nas seguintes provas
A prefeitura de um município detectou, em sua área central de urbanização e ocupação prioritária, que grandes quarteirões com
terrenos vazios e sem uso afetam socialmente toda a cidade e não cumprem a função social da propriedade. Para induzir a
ocupação desses terrenos e impedir que as áreas vazias da cidade continuem ociosas, o Plano Diretor do município e lei
específica podem dispor de mecanismo(s) ou instrumento(s) previsto(s) no Estatuto da Cidade, descritos como
Provas
Questão presente nas seguintes provas
Durante a elaboração do projeto de um loteamento que será construído na região de São José do Rio Preto, uma construtora,
além das contrapartidas ambientais previstas em lei, fará a subdivisão de gleba em lotes destinados à edificação, com aproveitamento de sistema viário existente e sem a abertura de novas vias e logradouros públicos nem no prolongamento, modificação ou
ampliação dos já existentes. Essa subdivisão é denominada
Provas
Questão presente nas seguintes provas
Considere a Tabela Excel a seguir.

O valor em B7 é obtido através da fórmula
Provas
Questão presente nas seguintes provas
Considere a planta referente ao empreendimento Cajuru D da Companhia de Desenvolvimento Habitacional e Urbano do Estado
de São Paulo (CDHU), com 218 Unidades Habitacionais em terreno de 92.710,97 m2 e área residencial de 43.600 m2.
SÃO PAULO (ESTADO). Companhia de Desenvolvimento Habitacional e Urbano do Estado de São Paulo (CDHU).
Com base nestas informações, tem-se que o lado da quadrícula mede
SÃO PAULO (ESTADO). Companhia de Desenvolvimento Habitacional e Urbano do Estado de São Paulo (CDHU).
Com base nestas informações, tem-se que o lado da quadrícula mede
Provas
Questão presente nas seguintes provas
Considere a tabela abaixo que mostra os Atendimentos entregues entre 1967 e 2015 pela Companhia de Desenvolvimento Habitacional e Urbano do Estado de São Paulo (CDHU).
Atendimentos entregues entre 1967 e 2015
(Adaptado de: CDHU 50 anos − Promovendo a Habitação Social no Estado de São Paulo. São Paulo: CDHU, 2016)
Em relação às informações dispostas, é correto afirmar que a mediana dos atendimentos de Atuação em Cortiços nos períodos analisados é
Atendimentos entregues entre 1967 e 2015

(Adaptado de: CDHU 50 anos − Promovendo a Habitação Social no Estado de São Paulo. São Paulo: CDHU, 2016)
Em relação às informações dispostas, é correto afirmar que a mediana dos atendimentos de Atuação em Cortiços nos períodos analisados é
Provas
Questão presente nas seguintes provas
Considere as imagens apresentadas.

Os mapas temáticos I e II utilizam medidas, respectivamente,
Provas
Questão presente nas seguintes provas
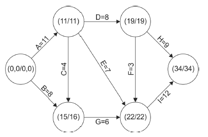
Considere o cronograma apresentado pelo gráfico abaixo:

Neste caso, o caminho crítico é formado pela sequência de atividades:
Provas
Questão presente nas seguintes provas
Considere a figura abaixo, de uma rampa em corte sem paredes laterais.

O elemento de segurança indicado é
Provas
Questão presente nas seguintes provas
Cadernos
Caderno Container