Foram encontradas 261 questões.
Disciplina: Inglês (Língua Inglesa)
Banca: FUNDATEC
Orgão: Pref. Sapucaia Sul-RS

Provas
Disciplina: Inglês (Língua Inglesa)
Banca: FUNDATEC
Orgão: Pref. Sapucaia Sul-RS

Analyse if the pronouns and its reference are correctly indicated.
I. ‘which’ (l.06) refers to ‘catalogue’ (l.05).
II. ‘who’ (l.08) refers to ‘David Wilkinson and Ognjen Apic’ (l.08).
III. ‘that’ (l.18) refers to ‘shows’ (l.18).
IV. ‘it’ (l.25) refers to ‘Google Chrome’ (l.25)
Which ones are INCORRECT?
Provas
Provas
Lista de símbolos:
⇒Condicional
⇔ Bicondicional
∧ Conector “e”
∨ Conector “ou”
⊻ Conector “ou” exclusivo
¬ Negação da proposição
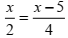
O valor de “x” na proporção
é:
Provas
Provas
Lista de símbolos:
⇒Condicional
⇔ Bicondicional
∧ Conector “e”
∨ Conector “ou”
⊻ Conector “ou” exclusivo
¬ Negação da proposição
Provas
Provas
Considere o quadrado ABCD de centro O representado na figura a seguir:

Se OB = 3√2 , então a área do quadrado ABCD será:
Provas
Provas

O conjunto imagem da função 
Provas
Caderno Container