Foram encontradas 50 questões.
O gráfico a seguir mostra o número de carros vendidos por uma concessionária nos seis primeiros meses de um ano.

De acordo com os dados, a média aritmética simples entre a moda, a média e a mediana da venda mensal de carros dessa concessionária no período analisado é igual a
Provas
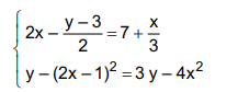
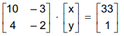
Observe o sistema de equações, nas incógnitas x e y:

Organizado em forma de equação matricial, esse sistema de equações é equivalente a:
Provas
O copo de um processador de alimentos tem a forma de cilindro circular reto. No centro desse copo, há um cilindro circular reto maciço de raio igual a 3 cm e altura igual a 8 cm.
A capacidade real do copo refere-se ao volume apenas da região do copo que não está ocupada pelo volume do cilindro circular maciço em seu interior, como mostra a figura.

Sabendo-se que a altura e o raio da base do cilindro circular reto maciço no interior do copo correspondem, respectivamente, a \( \dfrac{2}{3} \) e \( \dfrac{2}{5} \) da altura e do raio do cilindro circular reto do copo do processador, a capacidade real desse copo, em litro, está entre
Provas
Os vértices do hexágono côncavo ABCDEF, indicado na figura, estão em pontos de cruzamentos de linhas de uma grade quadriculada de 1 cm por 1 cm.

A área do hexágono ABCDEF é igual a
Provas
A figura indica um círculo e um semicírculo inscritos em um retângulo ABCD, sendo T, o ponto de tangência entre o círculo e o semicírculo.

Se o perímetro do retângulo ABCD é igual a 20 cm, a área da região pintada de cinza na figura, em cm2, é igual a
Provas
O faturamento de uma empresa aumentou de R$ 5.000.000,00 para R$ 6.000.000,00 em um período de três anos. A taxa anual de aumento do faturamento, relativa ao período desses três anos e expressa em porcentagem, foi de:
Provas
O valor numérico da fração algébrica \( \dfrac{x^3+2x^2-15x}{x^3-9x} \) para x = 9997 é
Provas
Sejam dois números naturais diferentes de zero, denotados por P e Q, e seja Q um múltiplo de 5. Comparando-se a quinta parte de Q, multiplicada por 15P, com o produto de P por Q, haverá, em relação a P ⋅ Q, um aumento de:
Provas
Em Polya há uma descrição do significado de demonstração por absurdo e de demonstração indireta, que são procedimentos diferentes, porém correlatos. No primeiro caso, deve-se mostrar a falsidade de uma suposição derivando dela um absurdo flagrante e, no segundo, deve-se estabelecer a verdade de uma afirmativa por revelar a falsidade da suposição oposta.
Uma demonstração matemática que tradicionalmente é feita na escola básica por absurdo é a
Provas
No livro intitulado Investigações Matemáticas na sala de aula, Ponte, Brocado e Oliveira explicitam, no capítulo sobre “A avaliação do trabalho de investigação”, dois dos diversos objetivos curriculares dos trabalhos de investigação em matemática. São eles: pretende-se que o aluno
Provas
Caderno Container