Magna Concursos

Foram encontradas 40 questões.

639387 Ano: 2019
Disciplina: Geografia
Banca: MS CONCURSOS
Orgão: Pref. Sonora-MS

“Localizado no município de Sonora, o _______________________ foi criado em 2001 como medida compensatório [sic] da instalação da usina hidrelétrica Ponte de Pedra, localizada no Rio Correntes divisa dos Estados de Mato Grosso do Sul e Mato Grosso. Vizinha do Pantanal, a Serra abriga diversas espécies de flora e fauna em 7.913 hectares de cerrado e Florestas Estacional Semidecidual.”

(Fonte: http://www.imasul.ms.gov.br, acesso em 18 de agosto de 2019.)

 

Provas

Questão presente nas seguintes provas
639385 Ano: 2019
Disciplina: Geografia
Banca: MS CONCURSOS
Orgão: Pref. Sonora-MS
A frase usada pela Gestão Municipal atual de Sonora é:
 

Provas

Questão presente nas seguintes provas
639377 Ano: 2019
Disciplina: Legislação Federal
Banca: MS CONCURSOS
Orgão: Pref. Sonora-MS

Leia o texto e marque a alternativa correta:


A Lei nº 13.722, de 4 de outubro de 2018, torna obrigatória a capacitação em noções básicas de primeiros socorros de professores e funcionários de estabelecimentos de ensino públicos e privados de educação básica e de estabelecimentos de recreação infantil. Segundo essa Lei:


1- O conteúdo dos cursos de primeiros socorros básicos ministrados deverá ser condizente com a natureza e a faixa etária do público atendido nos estabelecimentos de ensino ou de recreação.

2- Os estabelecimentos de ensino ou de recreação das redes pública e particular deverão dispor de kits de primeiros socorros, conforme orientação das entidades especializadas em atendimento emergencial à população.

3- São os estabelecimentos de ensino obrigados a afixar em local visível a certificação que comprove a realização da capacitação de que trata a referida Lei e o nome dos profissionais capacitados.

 

Provas

Questão presente nas seguintes provas
639374 Ano: 2019
Disciplina: Matemática
Banca: MS CONCURSOS
Orgão: Pref. Sonora-MS
A diferença entre o cubo da soma e o cubo da diferença de dois números naturais, dividida pelo produto do dobro do segundo número, é:
 

Provas

Questão presente nas seguintes provas
639372 Ano: 2019
Disciplina: Matemática
Banca: MS CONCURSOS
Orgão: Pref. Sonora-MS
Sejam as retas (r) dada por 3x – y = 0 e (s) dada por x + 5y = 0. Qual é a equação da reta que passa pelo ponto P(3,1) que intercepta (r) em A e (s) em B, tal que P seja o ponto médio do seguimento AB?
 

Provas

Questão presente nas seguintes provas
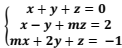
639368 Ano: 2019
Disciplina: Matemática
Banca: MS CONCURSOS
Orgão: Pref. Sonora-MS

Dado o sistema enunciado 639368-1, qual é o valor de m para que esse sistema seja possível e indeterminado?

 

Provas

Questão presente nas seguintes provas
639366 Ano: 2019
Disciplina: Matemática
Banca: MS CONCURSOS
Orgão: Pref. Sonora-MS
Dado um triângulo Isósceles com perímetro medindo 36 cm, em que a sua altura relativa à base excede a própria base em 2 cm, pergunta-se: quanto mede a sua base?
 

Provas

Questão presente nas seguintes provas
639361 Ano: 2019
Disciplina: Matemática
Banca: MS CONCURSOS
Orgão: Pref. Sonora-MS
A solução da inequação (x − 3)5 × (2x + 3)6 < 0 , no conjunto , é:
 

Provas

Questão presente nas seguintes provas
639357 Ano: 2019
Disciplina: Português
Banca: MS CONCURSOS
Orgão: Pref. Sonora-MS

Quanto ao uso, ou não, da vírgula, assinale cada item com (V) verdadeiro ou (F) falso e assinale a alternativa correta:


( ) A vírgula é obrigatória para separar os elementos de um termo composto.

( ) A vírgula é obrigatória para isolar o aposto explicativo.

( ) Não se usa a vírgula para isolar adjuntos adverbiais deslocados.

( ) A vírgula é obrigatória para isolar o vocativo.

( ) Não se usa a vírgula para separar expressões explicativas.

( ) Não se usa a vírgula para indicar a elipse do verbo.

 

Provas

Questão presente nas seguintes provas
639354 Ano: 2019
Disciplina: Português
Banca: MS CONCURSOS
Orgão: Pref. Sonora-MS

A FELICIDADE. (Vinicius de Moraes, Antônio Carlos Jobim)


Tristeza não tem fim

Felicidade sim.


A felicidade é como a gota

De orvalho numa pétala de flor

Brilha tranquila

Depois de leve oscila

E cai como uma lágrima de amor.

A felicidade do pobre parece

A grande ilusão do carnaval

A gente trabalha o ano inteiro

Por um momento de sonho

Pra fazer a fantasia

De rei ou de pirata ou jardineira

Pra tudo se acabar na quarta-feira.


Tristeza não tem fim

Felicidade sim.


A felicidade é como a pluma

Que o vento vai levando pelo ar

Voa tão leve

Mas tem a vida breve

Precisa que haja vento sem parar.


A minha felicidade está sonhando

Nos olhos da minha namorada

É como esta noite, passando, passando

Em busca da madrugada

Falem baixo, por favor

Pra que ela acorde alegre com o dia

Oferecendo beijos de amor.

O verso “e cai como uma lágrima de amor” é uma oração:
 

Provas

Questão presente nas seguintes provas