Foram encontradas 40 questões.
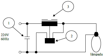
O esquema elétrico apresenta a ligação de uma lâmpada vapor de sódio AP (alta pressão). Assinale a alternativa correta de acordo com os elementos identificados.

Provas
Questão presente nas seguintes provas
A alternativa correta para o fechamento do motor trifásico de doze pontas (220/380/440/760V) na rede elétrica apresentada é:

Provas
Questão presente nas seguintes provas
Uma máquina operatriz tem movimento à esquerda e à direita.
Assinale a alternativa correta de acordo com o esquema de comando elétrico apresentado.

Provas
Questão presente nas seguintes provas
Quando realizamos a manutenção de uma rede elétrica predial ou um equipamento elétrico, antes de sua energização deve-se verificar as condições de isolação elétrica utilizando o instrumento adequado de medição conhecido por
Provas
Questão presente nas seguintes provas
Para se verificar a tensão elétrica de uma bateria, deve-se utilizar um multiteste na escala
Provas
Questão presente nas seguintes provas
Os componentes responsáveis pela partida de um motor monofásico de fase auxiliar são:
Provas
Questão presente nas seguintes provas
Complete com a alternativa correta a ligação elétrica de uma tomada 220V de uso geral.

Provas
Questão presente nas seguintes provas
Complete com a alternativa correta a ligação elétrica de uma lâmpada incandescente 220V comandada por dois interruptores paralelos bipolares.

Provas
Questão presente nas seguintes provas
Leia o texto a seguir para responder à questão.
Nobel da Paz
O Nobel da Paz é um dos prêmios Nobel, legado pelo sueco Alfred Nobel. Sua vontade era que o prêmio distinguisse “a pessoa que tivesse feito a maior ou melhor ação pela fraternidade entre as nações, pela abolição e redução dos esforços de guerra e pela manutenção e promoção de tratados de paz”.
Ao contrário dos outros prêmios Nobel, o Nobel da Paz pode ser atribuído a pessoas ou organizações que estejam envolvidas num processo de resolução de problemas, em vez de apenas distinguir aqueles que já atingiram os seus objetivos em alguma área específica. É, portanto, um prêmio Nobel com características próprias.
(http://pt.wikipedia.org/wiki/Nobel_da_Paz. 29.12.2011. Adaptado)
Conforme o texto, o desejo do autor do prêmio Nobel era de que o prêmio Nobel da Paz fosse entregue a pessoas que
Provas
Questão presente nas seguintes provas
Uma telha de barro custa R$ 1,50 se comprada por unidade (avulsa). Na compra de um milheiro (mil telhas), o preço é de R$ 1.250,00. Na compra de um milheiro dessa telha, cada unidade custa mais barato do que a comprada por unidade (avulsa)
Provas
Questão presente nas seguintes provas
Cadernos
Caderno Container