Magna Concursos

Foram encontradas 50 questões.

3547601 Ano: 2019
Disciplina: Português
Banca: Excelência
Orgão: Pref. Taubaté-SP

Assinale a opção que apresenta a regência verbal INCORRETA, de acordo com a norma culta da língua:

 

Provas

Questão presente nas seguintes provas
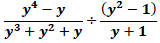
1162801 Ano: 2019
Disciplina: Matemática
Banca: Excelência
Orgão: Pref. Taubaté-SP

Simplifique a expressão numérica a seguir:

Enunciado 1162801-1

Supondo y3 + y2 + y ≠ 0, y ≠ 1 e y ≠ −1.

 

Provas

Questão presente nas seguintes provas
1162800 Ano: 2019
Disciplina: Informática
Banca: Excelência
Orgão: Pref. Taubaté-SP

Existe um comando que cria documentos falsos para testes de recursos no Microsoft Word. Esse comando usa uma estrutura variável, onde as letras x e y representam, respectivamente, o número de parágrafos e o número de frases em tais parágrafos. Qual comando o trecho refere-se?

 

Provas

Questão presente nas seguintes provas
1162799 Ano: 2019
Disciplina: Legislação de Trânsito
Banca: Excelência
Orgão: Pref. Taubaté-SP

Assinale, corretamente, a maneira de transportar passageiro em motocicleta:

 

Provas

Questão presente nas seguintes provas
1162798 Ano: 2019
Disciplina: Legislação de Trânsito
Banca: Excelência
Orgão: Pref. Taubaté-SP

Segundo a legislação, sono e estresse são considerados condições adversas de:

 

Provas

Questão presente nas seguintes provas
1162797 Ano: 2019
Disciplina: Legislação Estadual e Distrital
Banca: Excelência
Orgão: Pref. Taubaté-SP

Hoje a gratuidade no transporte público é aplicada:

 

Provas

Questão presente nas seguintes provas
1162796 Ano: 2019
Disciplina: Legislação de Trânsito
Banca: Excelência
Orgão: Pref. Taubaté-SP

Dirigir ameaçando os pedestres que estejam atravessando a via pública ou os demais veículos é:

 

Provas

Questão presente nas seguintes provas
1162795 Ano: 2019
Disciplina: Legislação de Trânsito
Banca: Excelência
Orgão: Pref. Taubaté-SP

Segundo o artigo nº 329 do Código de Trânsito Brasileiro - CTB, que se refere aos requisitos para o transporte de escolares, assinale a alternativa CORRETA:

 

Provas

Questão presente nas seguintes provas
1162793 Ano: 2019
Disciplina: Legislação de Trânsito
Banca: Excelência
Orgão: Pref. Taubaté-SP

De acordo com a Resolução do CONTRAN nº 754, de 20 de dezembro de 2018, aos veículos com denominação M3 escolar foi definido, a partir de 2023:

 

Provas

Questão presente nas seguintes provas

A ANTT (Agência Nacional de Transportes Terrestres) afirma que só se torna irregular o transporte de passageiros de pé em:

 

Provas

Questão presente nas seguintes provas