Foram encontradas 50 questões.
Qual das alternativas abaixo não tem apenas versões do Windows?
Provas
O que faz o atalho ALT+TAB, no Windows?
Provas
Disciplina: TI - Sistemas Operacionais
Banca: Excelência
Orgão: Pref. Taubaté-SP
Qual dos nomes abaixo não é de uma distribuição do Linux?
Provas
Disciplina: TI - Sistemas Operacionais
Banca: Excelência
Orgão: Pref. Taubaté-SP
- LinuxManipulação de Arquivos e Pastas (Shell)ls
- LinuxShell no LinuxInterface de Linha de Comando (Linux)
No Linux, na janela de comando, o que faz o comando LS?
Provas
Tendo como base a imagem abaixo do Microsoft Excel 2016:

Qual resposta a função MED deve retornar?
Provas
José quer construir um galpão de 8m por 10m, num conjunto habitacional em que todos os lotes são quadrados. A regra do conjunto habitacional só permite construções que ocupem no máximo 20% da área do terreno. Quais as medidas do menor terreno para que ele possa construir o galpão desejado?
Provas
Se
, determine y.
Provas
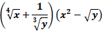
Reduzindo os radicais a potências de expoentes fracionários, simplifique a expressão algébrica a seguir:
![]()
Provas
A idade de Érica daqui a 5 anos será 20% maior que a idade atual de Júlia. Sabendo-se que a idade de Júlia daqui a 10 anos será de 30 anos, qual a idade de Érica hoje?
Provas
Simplifique a expressão numérica a seguir:
![]()
Provas
Caderno Container