Foram encontradas 40 questões.
Em dois triângulos, ABC e A’B’C’, os ângulos correspondentes são iguais. Se o lado AB
mede 6 cm, o lado BC mede 9 cm, e no triângulo A’B’C’ o lado A’B’ mede 7 cm, qual é o comprimento do
lado correspondente a B’C’?
Provas
Questão presente nas seguintes provas
Em uma competição de culinária, um chef deve ajustar a proporção de ingredientes de
uma receita originalmente destinada a cinco convidados para atender a 140% convidados a mais. Se a
receita original requer 1 litro e meio de caldo de carne, quantos litros serão necessários para a nova
quantidade de convidados, mantendo a proporção dos ingredientes?
Provas
Questão presente nas seguintes provas
Um estudante economiza dinheiro para comprar um novo telescópio que custa
R$1.400,00. Se ele já tem R$750,00 e decide guardar essa quantia em uma conta que rende 4% ao mês no
regime de juros simples, quanto tempo levará para que ele tenha o dinheiro suficiente para comprar o
telescópio?
Provas
Questão presente nas seguintes provas
Dois amigos, Anabela e Breno, decidem dividir um terreno retangular em partes iguais
sem sobrar espaço. Se o terreno tem dimensões de duzentos e quarenta metros por trezentos e sessenta
metros, qual é a maior dimensão que cada parte pode ter para que ambos tenham a mesma quantidade
de terra?
Provas
Questão presente nas seguintes provas
Na figura a seguir, o ângulo
e os lados
são paralelos.

O valor do ângulo
é:
Provas
Questão presente nas seguintes provas
A figura a seguir mostra dois quadrados ABCD e CDFG e dois triângulos equiláteros
BCE e FGH.

Sejam X e Y os dois ângulos mostrado na imagem acima, o valor de Y – 2X é:

Sejam X e Y os dois ângulos mostrado na imagem acima, o valor de Y – 2X é:
Provas
Questão presente nas seguintes provas
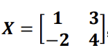
Em uma competição de robótica, uma matriz de transformação x é utilizada para alterar
a posição de um robô no espaço. Se a matriz
, qual é o dobro do determinante da matriz?
, qual é o dobro do determinante da matriz? Provas
Questão presente nas seguintes provas
Ana montou uma rifa para ajudar no tratamento de saúde de uma amiga. A rifa
contém100 números (1 a 100). No dia do sorteio, os 100 números serão escritos em pedacinhos de papéis
de mesmo tamanho, colocados dentro de uma caixa e um dos números será sorteado ao acaso. Qual a
probabilidade do número sorteado ser um múltiplo de 3 ou de 4?
Provas
Questão presente nas seguintes provas
Considere as funções polinomiais m(x) = bx + c+ (a− 1)x2 e n(x) = −c +2(b + ax2).
Se m(x) ≡ n(x), então o valor de a2 + 2b − c é:
Provas
Questão presente nas seguintes provas
Qual a derivada da função
?
Provas
Questão presente nas seguintes provas
Cadernos
Caderno Container