Foram encontradas 40 questões.
Sabendo que uma avaliação de matemática vale 100 pontos e possui 64 questões de
mesmo peso e que Maria acertou 2/5 das questões da avaliação, qual foi a nota obtida por Maria?
Provas
Questão presente nas seguintes provas
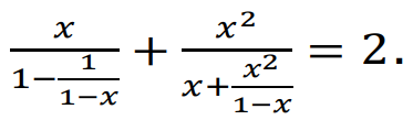
Assinale a alternativa que indica as soluções da equação 

Provas
Questão presente nas seguintes provas

(Disponível em: https://gauchazh.clicrbs.com.br/donna/colunistas/martha-medeiros/noticia/2023/11/aseguranca-nos-atrai-na-mesma-medida-que-a-liberdade-nos-assusta-clohbtgjp0044014yc9y0cw6h.html – texto
adaptado especialmente para esta prova).
Provas
Questão presente nas seguintes provas

(Disponível em: https://gauchazh.clicrbs.com.br/donna/colunistas/martha-medeiros/noticia/2023/11/aseguranca-nos-atrai-na-mesma-medida-que-a-liberdade-nos-assusta-clohbtgjp0044014yc9y0cw6h.html – texto
adaptado especialmente para esta prova).
Provas
Questão presente nas seguintes provas

(Disponível em: https://gauchazh.clicrbs.com.br/donna/colunistas/martha-medeiros/noticia/2023/11/aseguranca-nos-atrai-na-mesma-medida-que-a-liberdade-nos-assusta-clohbtgjp0044014yc9y0cw6h.html – texto
adaptado especialmente para esta prova).
Provas
Questão presente nas seguintes provas

(Disponível em: https://gauchazh.clicrbs.com.br/donna/colunistas/martha-medeiros/noticia/2023/11/aseguranca-nos-atrai-na-mesma-medida-que-a-liberdade-nos-assusta-clohbtgjp0044014yc9y0cw6h.html – texto
adaptado especialmente para esta prova).
Provas
Questão presente nas seguintes provas

(Disponível em: https://gauchazh.clicrbs.com.br/donna/colunistas/martha-medeiros/noticia/2023/11/aseguranca-nos-atrai-na-mesma-medida-que-a-liberdade-nos-assusta-clohbtgjp0044014yc9y0cw6h.html – texto
adaptado especialmente para esta prova).
Provas
Questão presente nas seguintes provas

(Disponível em: https://gauchazh.clicrbs.com.br/donna/colunistas/martha-medeiros/noticia/2023/11/aseguranca-nos-atrai-na-mesma-medida-que-a-liberdade-nos-assusta-clohbtgjp0044014yc9y0cw6h.html – texto
adaptado especialmente para esta prova).
Provas
Questão presente nas seguintes provas

(Disponível em: https://gauchazh.clicrbs.com.br/donna/colunistas/martha-medeiros/noticia/2023/11/aseguranca-nos-atrai-na-mesma-medida-que-a-liberdade-nos-assusta-clohbtgjp0044014yc9y0cw6h.html – texto
adaptado especialmente para esta prova).
Provas
Questão presente nas seguintes provas

(Disponível em: https://gauchazh.clicrbs.com.br/donna/colunistas/martha-medeiros/noticia/2023/11/aseguranca-nos-atrai-na-mesma-medida-que-a-liberdade-nos-assusta-clohbtgjp0044014yc9y0cw6h.html – texto
adaptado especialmente para esta prova).
Provas
Questão presente nas seguintes provas
Cadernos
Caderno Container