Foram encontradas 440 questões.
“Durante o período das chuvas, o número de caramujos
africanos aumenta nas áreas de vegetação das praias de
Vila Velha, fazendo com que o molusco se prolifere nas
áreas de restinga. A Prefeitura, por meio da Secretaria
Municipal de Serviços Urbanos, promove diariamente um
trabalho de cata manual dos caramujos. De novembro de
2019 até o dia 6 de janeiro de 2020 foram recolhidos 618
quilos do molusco na orla.” (http://www.vilavelha.es.gov.br/noticias/2020/01/prefeitura-recolhecaramujos-africanos-nas-restingas-28028)
Assinale a opção que corretamente associa a classe do caramujo africano e uma de suas características.
Assinale a opção que corretamente associa a classe do caramujo africano e uma de suas características.
Provas
Questão presente nas seguintes provas
Em bactérias autotróficas, a estrutura que desempenha
função equivalente à dos cloroplastos é o (a):
Provas
Questão presente nas seguintes provas
Sabe-se que em uma determinada população, a frequência
dos alelos permanece a mesma ao longo de gerações.
Considerando o princípio de Hardy-Weinberg, podemos
dizer que esta população:
Provas
Questão presente nas seguintes provas
Um grupo de pesquisadores da Universidade Federal do
Espírito Santo (UFES) e da Universidade de Vila Velha
(UVV) visitou a Ilha de Trindade, a 1.160 km de distância da
costa do estado, para estudar o desenvolvimento da vida
marinha do arquipélago. A expedição durou 14 dias e
novos ambientes submersos foram descobertos pelos
profissionais.
O trabalho feito pelos pesquisadores estuda a evolução das espécies de peixes que vivem na Cadeira Vitória-Trindade. São animais que só existem nos montes submarinos e nas ilhas do litoral do Espírito Santo, conforme explica Hudson Pinheiro.
"Conseguimos encontrar e estudar a distribuição de espécies que só tem ali na Cadeia Vitória-Trindade, que chamamos de espécies endêmicas. Estamos descrevendo esse ambiente que nós chamamos de Colinas Coralinas, que abriga uma grande diversidade de espécies em alto mar.”
(Adaptado de https://g1.globo.com/es/espirito-santo/noticia/2019/09/25/pesquisadores-do-es-estudam-a-evolucao-da-vida-marinha-em-expedicao-na-ilha-de-trindade.ghtml)
A região da Cadeia Vitória-Trindade apresenta endemismo. Estas espécies surgiram, principalmente, através do processo de:
O trabalho feito pelos pesquisadores estuda a evolução das espécies de peixes que vivem na Cadeira Vitória-Trindade. São animais que só existem nos montes submarinos e nas ilhas do litoral do Espírito Santo, conforme explica Hudson Pinheiro.
"Conseguimos encontrar e estudar a distribuição de espécies que só tem ali na Cadeia Vitória-Trindade, que chamamos de espécies endêmicas. Estamos descrevendo esse ambiente que nós chamamos de Colinas Coralinas, que abriga uma grande diversidade de espécies em alto mar.”
(Adaptado de https://g1.globo.com/es/espirito-santo/noticia/2019/09/25/pesquisadores-do-es-estudam-a-evolucao-da-vida-marinha-em-expedicao-na-ilha-de-trindade.ghtml)
A região da Cadeia Vitória-Trindade apresenta endemismo. Estas espécies surgiram, principalmente, através do processo de:
Provas
Questão presente nas seguintes provas
Pesquisas em distintas áreas da Biologia fornecem fartas
evidências da evolução biológica. Em relação à evolução
convergente, podemos citar como exemplo:
Provas
Questão presente nas seguintes provas
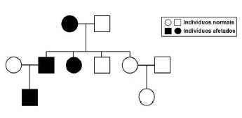
O heredograma a seguir mostra a herança de uma doença
genética ao longo de três gerações da mesma família. Tal
doença afeta o sistema nervoso central e surge,
tipicamente, por volta dos 30 ou 40 anos de idade, sem
que nenhum sintoma prévio tenha se manifestado.
A análise do heredograma permite concluir que essa
doença, que segue o padrão de herança mendeliana, pode
ser:
A análise do heredograma permite concluir que essa
doença, que segue o padrão de herança mendeliana, pode
ser:Provas
Questão presente nas seguintes provas
Mais de 80% das plantas podem formar micorrizas, uma
associação considerada cosmopolita e reconhecida como
parte importante e integral dos ecossistemas naturais de
todo o mundo. (http://www.scielo.br/pdf/abb/v18n3/v18n3a11.pdf, adaptado).
Micorrizas são:
Micorrizas são:
Provas
Questão presente nas seguintes provas
As briófitas são seres que em geral crescem em locais
úmidos nas florestas temperadas e tropicais ou ao longo
das margens de cursos d’água ou terras úmidas, mas
muitas espécies podem ser encontradas em lugares secos
como os desertos.
Elas são importantes colonizadoras iniciais de superfícies de rochas e solos nus. São muito sensíveis à poluição do ar, e geralmente estão ausentes ou representados apenas por poucas espécies em áreas bastante poluídas. (Adaptado de RAVEN, Peter H; EVERT, Ray F; EICHHORN, Susan E. Biologia vegetal. Rio de Janeiro: Guanabara Koogan, 2007.)
A respeito das briófitas, analise as afirmativas a seguir:
I – Todas são dioicas. II – Há espécies dioicas e há espécies monoicas. III – A fase gametofítica é diploide. IV – Os esporófitos crescem sobre os gametófitos. V – Muitas briófitas se reproduzem assexuadamente por fragmentação.
Estão corretas, apenas, as afirmativas:
Elas são importantes colonizadoras iniciais de superfícies de rochas e solos nus. São muito sensíveis à poluição do ar, e geralmente estão ausentes ou representados apenas por poucas espécies em áreas bastante poluídas. (Adaptado de RAVEN, Peter H; EVERT, Ray F; EICHHORN, Susan E. Biologia vegetal. Rio de Janeiro: Guanabara Koogan, 2007.)
A respeito das briófitas, analise as afirmativas a seguir:
I – Todas são dioicas. II – Há espécies dioicas e há espécies monoicas. III – A fase gametofítica é diploide. IV – Os esporófitos crescem sobre os gametófitos. V – Muitas briófitas se reproduzem assexuadamente por fragmentação.
Estão corretas, apenas, as afirmativas:
Provas
Questão presente nas seguintes provas
A pancreatectomia é a cirurgia de retirada do pâncreas,
considerada por muitos oncologistas como a forma mais
eficaz de curar o câncer de pâncreas.
No caso da remoção total do pâncreas, o tipo de nutriente que deixará de ser digerido pelo organismo é:
No caso da remoção total do pâncreas, o tipo de nutriente que deixará de ser digerido pelo organismo é:
Provas
Questão presente nas seguintes provas
Segundo KRASILCHIK, em seu livro Prática de Ensino de
Biologia, de 1983, a organização de uma excursão a campo
depende de que certas etapas sejam seguidas.
Analise as afirmativas a seguir.
I – Preparação da excursão, com o reconhecimento do local escolhido e a identificação dos problemas que serão avaliados. II – Elaboração do roteiro de trabalho contendo as informações para o procedimento dos alunos e as perguntas que devem responder. III – Trabalho de campo propriamente dito. IV – Trabalho em classe para a organização dos dados e exame do material coletado. V – Discussão dos dados para elaboração de uma descrição geral do sítio visitado e uma síntese final.
Para a autora, a organização de uma excursão deve incluir:
Analise as afirmativas a seguir.
I – Preparação da excursão, com o reconhecimento do local escolhido e a identificação dos problemas que serão avaliados. II – Elaboração do roteiro de trabalho contendo as informações para o procedimento dos alunos e as perguntas que devem responder. III – Trabalho de campo propriamente dito. IV – Trabalho em classe para a organização dos dados e exame do material coletado. V – Discussão dos dados para elaboração de uma descrição geral do sítio visitado e uma síntese final.
Para a autora, a organização de uma excursão deve incluir:
Provas
Questão presente nas seguintes provas
Cadernos
Caderno Container