Foram encontradas 440 questões.
Calcular a área da seção reta de um paralelepípedo cuja base é um quadrado de lado a e cujas faces laterais são dois quadrados e dois losangos com ângulo de 60º .
Provas
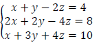
Para o sistema de equações lineares

É correto afirmar que:
Provas
Considere a matriz
e as seguintes
proposições:
I- Se Paris está na França então o determinante de A é igual a 0 (zero).
II- Se Paris está na Inglaterra então o determinante de A é igual a 1 (um).
III- Se Paris está na França, então o determinante de A é igual a 1 (um).
IV- Se Paris está na Inglaterra, então o determinante de A é igual a 0 (zero).
Então, entre as quatro proposições acima, o rol completo da(s) proposição(ões) correta(s) é:
Provas
Provas
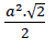
A altura do cone de revolução circunscrito a uma esfera de
raio R, dado o volume do cone igual a
é:
Provas
Se x1 e x2 são as raízes da equação:![]()
![]()
Provas
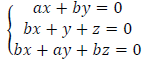
Num sistema de coordenadas cartesianas ortogonais, verificou-se que os pontos A(a,1,a), B(2a, 1, a), C(b, a, a) distintos são colineares. Além disso o sistema:

possui solução não trivial. Logo:
Provas
Sabendo-se que: ![]()
podemos afirmar que:
Provas
Com a chegada do verão, cresce a movimentação em praias, rios e lagoas e ocorrem casos de afogamentos.
Veja o gráfico com a quantidade de mortes por afogamentos no Espírito Santo nos três últimos anos.
Número de afogamentos

Observando o gráfico, é possível afirmar que o número de casos de afogamentos:
Provas
A professora levou o desenho da bandeira do município para os estudantes colorirem. O desenho apresenta um retângulo decomposto em um triângulo e mais duas figuras geométricas.

Sobre essas figuras geométricas, é correto afirmar que são:
Provas
Caderno Container