Foram encontradas 30 questões.
Em uma universidade, a nota final de um aluno é dada pela média aritmética ponderada da nota semestral (com peso
1) e a nota da prova final (com peso 2). João tirou 55 na nota semestral e 75 na prova final. A nota final de João é
Provas
Questão presente nas seguintes provas
Considere os números de 1 até 10. Sorteando um único número, a probabilidade de esse número ser divisível por 3 é
Provas
Questão presente nas seguintes provas
Um quadrado tem mesma área que um triângulo retângulo isósceles de hipotenusa igual a 2√2. Logo, pode-se afirmar
que o perímetro desse quadrado é
Provas
Questão presente nas seguintes provas
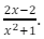
Simplificando a expressão,
, obtém-se
Provas
Questão presente nas seguintes provas
Considere a função
com domínio real. O intervalo que possui somente valores de x, tais que () é
negativo, é
Provas
Questão presente nas seguintes provas
Se um automóvel faz 25 quilômetros com 2 litro de gasolina, considerando a proporcionalidade, quantos quilômetros
o automóvel consegue percorrer com 11 litros de gasolina?
Provas
Questão presente nas seguintes provas
O intervalo determinado pelas inequações x+1>0 e x-5<1, levando em conta o conjunto dos números reais, é
Provas
Questão presente nas seguintes provas
Marque a alternativa CORRETA sobre o número natural a=200300700.
Provas
Questão presente nas seguintes provas
Considerando os números naturais a=1236 e b=2352, o máximo divisor comum (MDC) entre a e b (a,b) é
Provas
Questão presente nas seguintes provas
INSTRUÇÃO: Leia, com atenção, o texto 04 e, a seguir, responda à questão, que a ele se refere.
Texto 04

Disponível em: https://br.pinterest.com/. Acesso em: 10 mar. 2024.
I. O uso da letra maiúscula nas palavras “Saudade”, “Esperança”, “Presente”, “Passado” e “Futuro” reforçam a personificação desses termos.
II. O uso dos travessões intercalando o trecho “como seria lógico” indica a inserção de uma oração interferente, que traz uma observação adicional.
III. O uso do termo “seu moço”, que é um termo de chamamento (vocativo), indica a presença de um interlocutor a quem o eu poético fala.
IV. O uso dos travessões iniciais, nas duas últimas frases, assinala a presença de um diálogo.
V. O uso das vírgulas intercalando o trecho “a Saudade e a Esperança” se justifica pelo fato de esse trecho ser um aposto explicativo.
Estão CORRETAS as afirmativas
Provas
Questão presente nas seguintes provas
Cadernos
Caderno Container