Foram encontradas 60 questões.
Disciplina: TI - Desenvolvimento de Sistemas
Banca: BIO-RIO
Orgão: PROCERGS
XHTML é uma recomendação do W3C, tratando –se de uma linguagem estável mas que apresenta diferenças em relação ao HTML. Um comando cuja sintaxe está em conformidade com as regras do XHTML é:
Provas
Disciplina: TI - Desenvolvimento de Sistemas
Banca: BIO-RIO
Orgão: PROCERGS
Um Webdesigner está montando uma página para um site na Internet e inclui um formulário codificado em HTML, cujo código é mostrado a seguir.

O formulário gerado pelo código é:
Provas
Disciplina: TI - Desenvolvimento de Sistemas
Banca: BIO-RIO
Orgão: PROCERGS
Analise o código HTML abaixo.

A tabela gerada pelo código acima é:
Provas
Disciplina: TI - Desenvolvimento de Sistemas
Banca: BIO-RIO
Orgão: PROCERGS
Observe as figuras a seguir, que possibilitam a comparação entre o modelo tradicional para aplicações Web (figura I) e o modelo Ajax (figura II). Em vez de carregar uma página web no início da sessão, o browser carrega uma ferramenta Ajax, escrita em JavaScript e geralmente colocada sobre um frame escondido. Esta ferramenta é responsável por “renderizar” a interface que o usuário vê e pela comunicação com o servido em prol do usuário. A ferramenta Ajax permite que a interação do usuário com a aplicação aconteça assincronamente, independente da comunicação com o servidor em, dessa forma, o usuário nunca encarará uma janela branca do browser e um ícone de ampulheta, esperando pelo servidor para fazer algo.


Na figura II, o componente FERRAMENTA do modelo Ajax é conhecido como:
Provas
Disciplina: TI - Desenvolvimento de Sistemas
Banca: BIO-RIO
Orgão: PROCERGS
Um webdesigner está montando uma homepage e inseriu a figura.

denominada procergs.jpg e, em seguida digitou PROCERGS. Desejando inserir um hyperlink para o endereço http://www.procergs.com.br somente na figura procergs.jpg, com a imagem sem bordas, o código HTML correspondente será:
Provas
Disciplina: TI - Desenvolvimento de Sistemas
Banca: BIO-RIO
Orgão: PROCERGS
AJAX (Asynchronous JavaScript and XML) é um termo criado para duas características poderosas dos browsers que existem há anos mas tem sido ignoradas por muitos criadores de páginas web, quando aplicações como Gmail, Google suggest e Google Maps foram lançadas. As duas principais características são a possibilidade de efetuar pedidos ao servidor sem ter de recarregar a página e analisar gramaticalmente e trabalhar com documentos XML. Ajax não é uma tecnologia, na verdade são várias, cada uma atuando da sua própria maneira, tornando-se juntas uma poderosa possibilidade. Ajax incorpora uma série de funções e utiliza um importante componente conhecido por XMLHttpRequest, que tem a seguinte função:
Provas
Disciplina: TI - Desenvolvimento de Sistemas
Banca: BIO-RIO
Orgão: PROCERGS
Em JavaScript, deseja-se que uma variável estado receba o valor líquido se a temperatura for maior que 21 e sólido, caso contrário. A sintaxe para a estrutura a ser empregada na programação é:
Provas
Disciplina: TI - Desenvolvimento de Sistemas
Banca: BIO-RIO
Orgão: PROCERGS
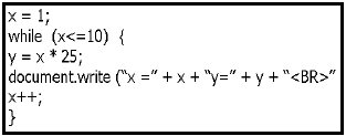
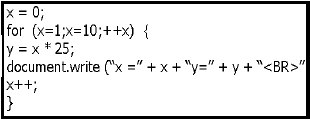
Observe o código abaixo em JavaScript.

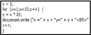
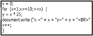
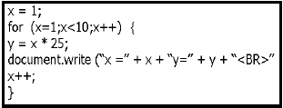
A estrutura for equivalente que produz os mesmos resultados, apresenta a sintaxe indicada em:
Provas
Disciplina: TI - Desenvolvimento de Sistemas
Banca: BIO-RIO
Orgão: PROCERGS
JavaScript é uma linguagem orientada a eventos. Um evento pode causar a execução de uma seção de código, conhecida como rotina de tratamento de eventos. Uma dessas rotinas ocorre quando o texto, a área de texto ou o valor do elemento de seleção é alterado. Observe a sintaxe abaixo.

Quando o campo de texto receber um novo valor, a função CheckAge( ) será chamada, o que ocorrerá desde que a palavra ROTINA seja substituída por:
Provas
Disciplina: TI - Desenvolvimento de Sistemas
Banca: BIO-RIO
Orgão: PROCERGS
CSS - Cascading Style Sheets constitui um recurso que permite uma versatilidade maior na programação do layout de páginas web sem aumentar o seu tamanho em kb, pois oferece várias possibilidades que antes só eram conseguidas com a utilização de GIFs e JPGs. Basicamente, o CSS permite ao designer um controle maior sobre os atributos de uma home page, como tamanho e cor das fontes, espaçamento entre linhas e caracteres, margem do texto, caixas de texto, botões de formulário, entre outros. Dentre os métodos de implementação, um permite usar um único style sheet para várias páginas, talvez até para um site inteiro, o que é muito mais eficiente., sendo bastante útil também na administração do site, centralizando toda a configuração em um unico arquivo. Esse método está ilustrado em:
Provas
Caderno Container