Foram encontradas 50 questões.
763197
Ano: 2014
Disciplina: TI - Redes de Computadores
Banca: VUNESP
Orgão: SAAE-São Carlos-SP
Disciplina: TI - Redes de Computadores
Banca: VUNESP
Orgão: SAAE-São Carlos-SP
Provas:
Quando se digita uma URL em um navegador, por exemplo, http://www.imdb.com/chart/top.html, o nome do host que hospeda essa URL, no caso www.imdb.com, precisa ser primeiramente convertido em um endereço IP. Essa tradução é realizada por um servidor local:
Provas
Questão presente nas seguintes provas
Um computador usa uma fonte do tipo ATX 12V. Essa fonte pode ser acionada pela placa mãe por meio do sinal PS_ON#, de modo a permitir ligar-se e desligar-se o computador via software e de forma remota. Em uma manutenção, desejando-se simular esse sinal recebido pela fonte no conector da placa mãe, deve-se colocar em curto os fios
Provas
Questão presente nas seguintes provas
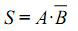
Considere o circuito digital mostrado na figura a seguir.

A função lógica que ele implementa é:

A função lógica que ele implementa é:
Provas
Questão presente nas seguintes provas
Um carrinho de brinquedo usa quatro pilhas AA em série, de forma a fornecer 6 V para o seu circuito. As quatro pilhas alcalinas armazenam um total de 200 J de energia. Se o carrinho consome uma corrente constante de 10 mA, um conjunto de pilhas novas consegue mantê-lo funcionando por, aproximadamente,
Provas
Questão presente nas seguintes provas
O endereço IP dos computadores em uma rede podem ser registrados manualmente em seu sistema operacional por um administrador ou podem ser obtidos automaticamente da rede. O protocolo usado para essa última opção é o
Provas
Questão presente nas seguintes provas
Considere o circuito a seguir, formado por diodos ideais ligados a tensões constantes.

O valor da tensão V o e da corrente I sobre o resistor R1 são, correta e respectivamente,

O valor da tensão V o e da corrente I sobre o resistor R1 são, correta e respectivamente,
Provas
Questão presente nas seguintes provas
Considere uma instalação elétrica em baixa tensão na qual foram seguidas corretamente as normas brasileiras aplicáveis. Em um ponto de tomada, chegam três condutores com isolamentos nas cores azul-claro, verde e vermelho. Esses cabos correspondem, correta e respectivamente, a condutores
Provas
Questão presente nas seguintes provas
A especificação de um leitor/gravador de DVDs informa que ele lê discos DVD-R à velocidade 8 × . Dessa forma, desconsiderando-se o tempo de busca, um arquivo de 500 MB será lido em, aproximadamente,
Provas
Questão presente nas seguintes provas
Assinale a alternativa correta.
Provas
Questão presente nas seguintes provas
A respeito do Windows 98, assinale a alternativa correta.
Provas
Questão presente nas seguintes provas
Cadernos
Caderno Container