Foram encontradas 25 questões.

A figura acima representa o diagrama de níveis de energia no modelo de Bohr para o átomo de hidrogênio. Neste modelo, que leva em conta o comportamento corpuscular da luz (fóton), as transições eletrônicas ocorrem por emissão ou absorção de energia quantizada.
Em relação à série espectral de Lyman no modelo de Bohr mencionado no texto, assinale a opção cuja transição eletrônica indicada resulta na emissão de um fóton com maior comprimento de onda.
Provas

A figura acima representa o diagrama de níveis de energia no modelo de Bohr para o átomo de hidrogênio. Neste modelo, que leva em conta o comportamento corpuscular da luz (fóton), as transições eletrônicas ocorrem por emissão ou absorção de energia quantizada.
Com base no modelo de Bohr e na regra de quantização da energia, a energia mínima que um fóton deve ter para ionizar um átomo de hidrogênio em seu estado fundamental é igual a
Provas
Considerando a velocidade da luz c = 3,0 × 108 m/s e a massa do elétron me = 9,1 × 10-31 kg, a equação de Einstein que relaciona massa e energia permite concluir que a energia total de um elétron livre com energia cinética igual a EC = 4,0 × 10-13 J, em unidades de 10-14 J, é aproximadamente igual a
Provas
Considerando a massa do elétron me = 9,1 × 10-31 kg, a carga do elétron e = 1,6 × 10-19 C e a constante de Planck h = 6,6 × 10-34 J.s, é correto afirmar que, de acordo com os postulados de Bohr, o comprimento de onda de matéria associado a um elétron cuja energia cinética é igual a 120 e V é da ordem de
Provas
Considerando as leis da termodinâmica, julgue os itens a seguir.
I Nenhuma máquina térmica que opere entre duas temperaturas dadas pode apresentar maior rendimento que uma máquina de Carnot que opere entre as mesmas temperaturas.
II Calor não pode passar espontaneamente de um corpo para outro cuja temperatura seja mais baixa.
III Uma máquina de Carnot apresenta menor rendimento ao operar entre 10 ºC e !10 ºC do que ao operar entre 80 ºC e 60 ºC.
Assinale a opção correta.
Provas

Uma alternativa para gerar energia limpa é a conversão de óleos vegetais e gorduras em biodísel e o uso da cana-de-açúcar na produção de álcool combustível. Esse processo de utilização da biomassa, representado esquematicamente nas figuras acima, é também conhecido como ciclo curto do carbono.
No caso do álcool como combustível automotivo, o produto final é o metanol ou etanol, utilizado principalmente em motores a explosão ou máquinas térmicas, cujos ciclos termodinâmicos mais conhecidos são os ciclos de Otto e de Carnot. A figura abaixo mostra o digrama de Clayperon (p × V) com as transformações termodinâmicas de um ciclo de Carnot.

Assinale a opção que descreve corretamente as transformações, no ciclo de Carnot, relativas aos processos 1
2, 2
3, 3
4 e 4
1, respectivamente.
Provas
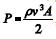
Em usina eólica, ocorre a conversão da energia cinética devido ao movimento de uma massa de ar em energia elétrica. Sabe-se que a potência máxima ou trabalho máximo realizado por unidade de tempo, nesse processo, pode ser calculada de forma aproximada pela equação
, em que ρ é a densidade do ar, v é a velocidade do vento e A é a área circular varrida pelas hélices do gerador. Nesse caso, se a velocidade do vento aumentar em 10%, a potência elétrica máxima que pode ser gerada aumentará em aproximadamente
Provas

A figura acima mostra uma estação de coleta de energia solar em que enormes espelhos côncavos concentram a luz solar em seus focos, elevando a temperatura, neste ponto, a centenas de graus célsius. O calor gerado é usado para produzir vapor e mover turbinas para gerar energia elétrica. A montagem de um equipamentos desses requer o conhecimento de propriedades de reflexão de espelhos esféricos. Acerca dessas propriedades, assinale a opção incorreta.
Provas

A energia solar é uma das fontes de energia limpa cujo uso deve ser incentivado. A figura acima ilustra um sistema de aquecimento solar demonstrativo que pode ser facilmente construído nos laboratórios de escolas do ensino médio e fundamental. Ele é composto de uma placa metálica (P) pintada de preto, em contato com um tubo metálico sinuoso (M); um depósito de água D e tubos (T) que ligam o depósito ao tubo metálico em contato com a placa. Os tubos sinuosos (M) no interior da placa devem ser de feitos de metal. O aquecimento da água contida no depósito D, pela absorção da energia solar, deve-se, basicamente, à ocorrência sucessiva dos fenômenos de
Provas

Considere que, no circuito representado na figura acima, a chave inicialmente está desligada e a bússola, orientada paralelamente ao plano do circuito. Ao ligar a chave, uma corrente elétrica percorrerá o circuito. Com base nessas informações, assinale a opção que melhor representa a orientação da bússola em relação ao plano do circuito elétrico, após a chave ter sido ligada.
Provas
Caderno Container