Foram encontradas 60 questões.
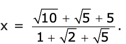
O número real x é tal que 
Sendo assim, a potência x3 resulta em um número pertencente ao intervalo:
Provas
Questão presente nas seguintes provas
Em uma caixa, há bolas brancas e vermelhas
em quantidades, respectivamente, iguais a B e V. Em
certo momento, Claudemira retira 5 bolas brancas
da caixa, e a razão entre as quantidades de bolas
brancas e vermelhas restantes, nessa ordem, torna-se igual a 1/2.
Depois disso, Edicleusa retira da mesma caixa 10 bolas vermelhas, e a razão entre o número de bolas vermelhas e brancas, ainda presentes na caixa, nessa ordem, passa a ser 4/3.
Sabe-se que, uma vez retiradas bolas da caixa, elas não são repostas.
Sendo assim, é correto afirmar que, antes que as bolas da caixa fossem retiradas, ela continha:
Depois disso, Edicleusa retira da mesma caixa 10 bolas vermelhas, e a razão entre o número de bolas vermelhas e brancas, ainda presentes na caixa, nessa ordem, passa a ser 4/3.
Sabe-se que, uma vez retiradas bolas da caixa, elas não são repostas.
Sendo assim, é correto afirmar que, antes que as bolas da caixa fossem retiradas, ela continha:
Provas
Questão presente nas seguintes provas
A sequência (2; x; 18; y) é formada por números naturais, de forma que seus três primeiros
termos conformam uma progressão geométrica e,
os três últimos, uma progressão aritmética. Nessas
condições, é correto afirmar que:
Provas
Questão presente nas seguintes provas
Instigada a calcular a medida, em graus, de um
ângulo de medida α, Berenice recebeu a informação
de que o suplemento do complemento de a mede
132º. Berenice chegou corretamente à resposta,
que é igual a:
Provas
Questão presente nas seguintes provas
Zenildo, diariamente, capina um hectare de
uma lavoura de mandioca que mantém nos fundos
de sua casa, o que demanda um total de 3 horas.
Porém, passou a receber o auxílio de Zaqueu, recém-contratado pelo proprietário da fazenda. Porém,
devido à sua inexperiência, Zaqueu tem metade da
eficiência que possui Zenildo. Sendo assim, ambos,
trabalhando juntos, em duas horas terão capinado
uma área, em hectare(s), igual a:
Provas
Questão presente nas seguintes provas
Na equação
, o valor inteiro
de x (x ≠ – 1; x ≠ 2; e x > 0) que a satisfaz é um
número:
, o valor inteiro
de x (x ≠ – 1; x ≠ 2; e x > 0) que a satisfaz é um
número:Provas
Questão presente nas seguintes provas
Sabe-se que a + b = 2 e a2
+ b2
= 10. Sendo
assim, a soma a3
+ b3
é igual a:
Provas
Questão presente nas seguintes provas
Sebastião decidiu ceder a seus filhos, Ariel,
Gabriel e Israel, 110 hectares de sua fazenda, ainda
em vida, para que eles engordassem gado bovino.
Ariel já possuía 22 reses nos pastos do pai; Gabriel,
outras 32; e Israel, 56 reses. Como a divisão entre
os filhos de Sebastião seria proporcional ao rebanho que cada um já possuía, o número de hectares
destinados a Gabriel foi igual a:
Provas
Questão presente nas seguintes provas
As provas bimestrais de uma turma de alunos
possuem peso 1, no 1º bimestre; peso 2, no 2º; peso
3, no 3º bimestre; e peso 4, no 4º e último bimestre
do ano letivo. Radegundis obteve, nas primeiras
provas de Matemática, nota 3 no 1º bimestre; nota
4, no 2º; e nota 5 no 3º bimestre. Qual deverá ser
a nota mínima que deverá atingir no 4º bimestre
para ser aprovado na disciplina se a média mínima
(ponderada) deve ser igual ou superior a 6,0?
Provas
Questão presente nas seguintes provas
É correto afirmar que (2%)2
é igual a:
Provas
Questão presente nas seguintes provas
Cadernos
Caderno Container