Magna Concursos

Foram encontradas 40 questões.

836850 Ano: 2014
Disciplina: Informática
Banca: VUNESP
Orgão: SAP-SP
Provas:

Um engenheiro civil utilizando o programa Excel digitou números nas células B1, C1, D1, E1 e F1. Em seguida,

I. na célula D2, a raiz quadrada da soma de todos os números contidos entre as células B1 a F1;

II. na célula E2, a célula C1 elevada ao quadrado.

A fórmula inserida em E2 é POTÊNCIA
 

Provas

Questão presente nas seguintes provas
836849 Ano: 2014
Disciplina: Informática
Banca: VUNESP
Orgão: SAP-SP
Provas:

Um engenheiro civil utilizando o programa Excel digitou números nas células B1, C1, D1, E1 e F1. Em seguida,

I. na célula D2, a raiz quadrada da soma de todos os números contidos entre as células B1 a F1;

II. na célula E2, a célula C1 elevada ao quadrado.

A fórmula inserida em D2 é
 

Provas

Questão presente nas seguintes provas
836807 Ano: 2014
Disciplina: Engenharia Civil
Banca: VUNESP
Orgão: SAP-SP
Provas:
Para uniformizar a superfície, regularizar o prumo, alinhar as paredes e tirar as irregularidades dos tijolos e blocos assentados utiliza-se o revestimento externo denominado
 

Provas

Questão presente nas seguintes provas
836806 Ano: 2014
Disciplina: Engenharia Civil
Banca: VUNESP
Orgão: SAP-SP
Provas:
Sobre instalações prediais de água fria, em uma seção da tubulação, a pressão da água prevista em projeto em condições estáticas, ou seja, sem escoamento, é 200 kPa. Nessa seção, o valor da pressão do ensaio de estanqueidade deve ser no mínimo
 

Provas

Questão presente nas seguintes provas
836805 Ano: 2014
Disciplina: Engenharia Civil
Banca: VUNESP
Orgão: SAP-SP
Provas:

Para executar hachuras em um desenho utilizando o programa AutoCAD, o comando a ser utilizado é

 

Provas

Questão presente nas seguintes provas
836804 Ano: 2014
Disciplina: Engenharia Civil
Banca: VUNESP
Orgão: SAP-SP
Provas:
Na reforma de uma edificação antiga para abrir um vão entre dois ambientes, retirando uma parede divisória feita com um tijolo maciço, utilizam-se dois perfis idênticos de aço duplo T, com a largura de um quarto do tijolo e altura adequada para o serviço. Mantendo parte da parede para o apoio dos perfis, inicialmente abre-se um vão de um quarto da espessura da parede em uma das faces com a altura dos perfis e assenta-se o primeiro perfil. Em seguida,
 

Provas

Questão presente nas seguintes provas
836803 Ano: 2014
Disciplina: Engenharia Civil
Banca: VUNESP
Orgão: SAP-SP
Provas:
Para reforçar uma fundação foi necessário executar uma sapata e um pilar ao lado de uma já existente. No lançamento do concreto não deve ocorrer a segregação no caso de peças estreitas e altas. Para dispensar a majoração desses cuidados, a altura máxima de queda livre do concreto é
 

Provas

Questão presente nas seguintes provas
836802 Ano: 2014
Disciplina: Engenharia Civil
Banca: VUNESP
Orgão: SAP-SP
Provas:
Na cobertura com telhado esquematizado na figura, o encontro de águas indicado com a seta recebe o nome de

enunciado 836802-1
 

Provas

Questão presente nas seguintes provas
836801 Ano: 2014
Disciplina: Engenharia Civil
Banca: VUNESP
Orgão: SAP-SP
Provas:

Após a execução de uma viga de concreto armado observaram-se fissuras inclinadas próximas ao apoio. Se o projeto estrutural não apresentou problemas nem inconsistência relacionados ao carregamento submetido, conclui-se que houve insuficiência de armadura durante a construção. Essa armadura é a

enunciado 836801-1

 

Provas

Questão presente nas seguintes provas
836800 Ano: 2014
Disciplina: Engenharia Civil
Banca: VUNESP
Orgão: SAP-SP
Provas:
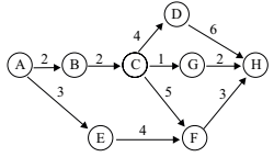
As interferências em uma obra podem ser verificadas no diagrama da figura a seguir, no qual os eventos estão representados por círculos e a duração das atividades entre eventos, em semanas, é dada junto às setas. É correto afirmar que o tempo mínimo de conclusão desse projeto é

enunciado 836800-1
 

Provas

Questão presente nas seguintes provas