Foram encontradas 1.078 questões.
No que se refere a ondas, energia e suas transformações, julgue o próximo item.
A energia mecânica de um sistema é a soma da energia cinética e da energia potencial. Se as únicas forças presentes são a força gravitacional e a força elástica, o valor da energia mecânica permanece constante mesmo que a energia cinética e a energia potencial variem com o tempo.
Provas
A velocidade de um objeto é dada pela equação v = 20 - 4
t +3
t2 , onde t é dado em segundos e v em metros por segundo. Utilizando essa equação, julgue o item que se segue.
Após 4 segundos, a aceleração do objeto é igual a 24 m/s2 .
Provas
No que se refere a ondas, energia e suas transformações, julgue o próximo item.
Nos sistemas isolados, a energia pode ser transformada de uma forma para outra, o que resulta na diminuição da energia total do sistema.
Provas
- Mecânica ClássicaDinâmicaEnergia Mecânica e sua Conservação
- Mecânica ClássicaGravitação UniversalForça Gravitacional e Satélites
Obviamente a Terra exerce uma atração sobre os objetos que estão sobre sua superfície. Newton se deu conta de que esta força se estendia até a Lua e produzia a aceleração centrípeta necessária para manter a Lua em órbita. O mesmo acontece com o Sol e os planetas. Então Newton formulou a hipótese da existência de uma força de atração universal entre os corpos em qualquer parte do Universo.
Internet: <http://astro.if.ufrgs.br>
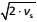
Com base nas informações fornecidas no texto e nos conhecimentos relacionados à gravitação, julgue o item subsecutivo.
Um satélite orbita a Terra, em um movimento circular,
com uma velocidade vs. Para escapar do planeta, o
satélite precisará atingir velocidade igual a
.
Provas
- EletromagnetismoElétricaCircuitos Elétricos Especiais: Leis de Kirchhoff e Ponte de Wheatstone
- EletromagnetismoElétricaEletricidade

Uma bateria fornece uma diferença de potencial de 12 V aos terminais de uma combinação em paralelo de resistores de 4 Ω e 6 Ω, conforme mostrado na figura acima. Considerando esse circuito, percorrido por uma corrente elétrica contínua (i), julgue o item subsequente.
A resistência elétrica equivalente do circuito mostrado na figura é igual a 24 Ω.
Provas
Uma lente biconvexa simétrica de vidro (n = 1,4) está imersa no ar (n = 1) e possui o raio de curvatura de suas faces igual a 15 cm.
Com base nessa situação hipotética, julgue o item subsequente, considerando que n seja o índice de refração.
A distância focal, em centímetros, da lente é igual a 18,75.
Provas
No que se refere a ondas, energia e suas transformações, julgue o próximo item.
Ondas sonoras são ondas mecânicas transversais, contudo não se propagam por sólidos, líquidos ou gases.
Provas
O fenômeno da refração da onda resulta fundamentalmente da mudança na velocidade de propagação de uma onda quando ela passa de um meio para outro. A respeito da refração da luz, julgue o item subsequente.
Para determinados dois meios, e para uma luz simples incidente, é variável a razão entre o seno do ângulo de incidência e o seno do ângulo de refração.
Provas
Em 1905 Albert Einstein propôs a teoria da relatividade restrita. No caso, o adjetivo “restrita” é usado para indicar que a teoria se aplica somente a referenciais inerciais. A respeito dessa teoria, julgue o item a seguir.
A velocidade da luz não é constante para todos os observadores. Depende do referencial inercial em que se situa o observador.
Provas
Um professor encontrou um termômetro com uma nomenclatura X. No manual de instruções, o professor verificou que a escala termométrica do termômetro possui as seguintes convenções: ponto de gelo 30°X e ponto de vapor, 80°X.
Com base nessa situação hipotética, julgue o item a seguir.
A equação de conversão para a temperatura medida na
escala X (tx) e na escala Celsius (tc) é expressa por tx= 2
tc + 30.
Provas
Caderno Container