Foram encontradas 120 questões.

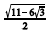
A aproximação para
obtida aplicando-se a relação utilizada na Idade Média fornece uma aproximação para B correta até a 3.ª casa decimal.
Provas

Provas

Com base nessas informações, julgue os itens a seguir.
Se um cliente fez um saque bancário de sua conta corrente no valor de R$ 1.500,00, em novembro de 2007, então dele foi cobrado R$ 5,70 referentes à CPMF nessa operação.
Provas

Com base nessas informações, julgue os itens a seguir.
Considere que 2% do valor arrecadado em 2006, em razão da CPMF, foram destinados ao Ministério da Educação. Nessa situação, é correto afirmar que o valor destinado ao Ministério da Educação corresponde a 0,076% de todas as transações bancárias que cobravam CPMF.
Provas
Em uma aula de Matemática, quando o assunto abordado era trigonometria, foi proposto aos alunos que estudassem a posição relativa das ilhas L, D e J, a partir de informações contidas no mapa ilustrado na figura abaixo, onde P é a localização de determinado porto. Os alunos, depois de traçarem os eixos horizontais e verticais, perpendiculares no ponto P, usando um transferidor determinaram os ângulos que os raios PL, PD e PJ fazem com o eixo horizontal, obtendo 30º, 45º e 60º, respectivamente.

Acerca dessa atividade e sabendo que o mapa foi desenhado na escala de 1 cm : 0,25 km, julgue os itens subseqüentes.
A distância entre as ilhas D e J é igual a
km.
Provas
Em uma aula de Matemática, quando o assunto abordado era trigonometria, foi proposto aos alunos que estudassem a posição relativa das ilhas L, D e J, a partir de informações contidas no mapa ilustrado na figura abaixo, onde P é a localização de determinado porto. Os alunos, depois de traçarem os eixos horizontais e verticais, perpendiculares no ponto P, usando um transferidor determinaram os ângulos que os raios PL, PD e PJ fazem com o eixo horizontal, obtendo 30º, 45º e 60º, respectivamente.

Acerca dessa atividade e sabendo que o mapa foi desenhado na escala de 1 cm : 0,25 km, julgue os itens subseqüentes.
A ilha L está a 3 km do porto.
Provas
O professor de matemática determinou a seus alunos:
1) cada um pegue uma folha de papel, retangular, de lados medindo 20 cm × 16 cm; dobrem a folha ao meio, pelo lado de maior comprimento, identificando os seus lados opostos (como na figura abaixo);

2) repitam esse processo com a folha dobrada (ilustrado na figura abaixo);

3) repitam o processo várias vezes.
Acerca dos resultados dessa atividade e considerando que seja possível repetir o processo indefinidamente, julgue os itens subseqüentes.
Depois de dobrar a folha 101 vezes e abri-la, o perímetro de cada um dos retângulos obtidos é inferior a
cm.
Provas
O professor de matemática determinou a seus alunos:
1) cada um pegue uma folha de papel, retangular, de lados medindo 20 cm × 16 cm; dobrem a folha ao meio, pelo lado de maior comprimento, identificando os seus lados opostos (como na figura abaixo);

2) repitam esse processo com a folha dobrada (ilustrado na figura abaixo);

3) repitam o processo várias vezes.
Acerca dos resultados dessa atividade e considerando que seja possível repetir o processo indefinidamente, julgue os itens subseqüentes.
Se, depois de aberta, os retângulos que dividem a folha tiverem área igual a 5 cm2, então o número de vezes que a folha foi dobrada é inferior a 5.
Provas
O professor de matemática determinou a seus alunos:
1) cada um pegue uma folha de papel, retangular, de lados medindo 20 cm × 16 cm; dobrem a folha ao meio, pelo lado de maior comprimento, identificando os seus lados opostos (como na figura abaixo);

2) repitam esse processo com a folha dobrada (ilustrado na figura abaixo);

3) repitam o processo várias vezes.
Acerca dos resultados dessa atividade e considerando que seja possível repetir o processo indefinidamente, julgue os itens subseqüentes.
Ao abrir a folha de papel, depois de dobrá-la por 8 vezes, as marcas das dobras dividem a folha em 256 retângulos de mesma área.
Provas
Com relação a Internet, intranet e navegadores, julgue os itens que se seguem.
Uma desvantagem do Outlook Express 6 é a impossibilidade de encaminhar em uma mesma mensagem anexos com arquivos de tipos diferentes.
Provas
Caderno Container