Foram encontradas 70 questões.
- Química OrgânicaReações OrgânicasReações Orgânicas: Substituição, Adição e Eliminação
- Química OrgânicaReações OrgânicasReações Orgânicas: Oxidação, Redução e Polimerização
- Transformações Químicas e EnergiaEletroquímica
Atenção: Considere as informações abaixo para responder a questão.
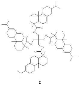
Breu (ácido abiético, fórmula molecular C19H29COOH) e pentaeritritol (2,2-Bis (hidroximetil)1,3-propanodiol; fórmula molecular C5H12O4) reagem, eliminando água, para formar o composto I, muito utilizado na indústria de tintas e de borracha.

Provas
- Química OrgânicaReações OrgânicasReações Orgânicas: Substituição, Adição e Eliminação
- Química OrgânicaReações OrgânicasReações Orgânicas: Oxidação, Redução e Polimerização
O óxido de etileno é uma substância muito utilizada na esterilização química de artigos médicos e odontológicos. A esterilização se dá por uma reação de deslocamento “In vivo”, envolvendo uma reação nucleófila de sítio ativo dos ácidos nucleicos no interior da célula com a molécula de Óxido de Etileno; inibindo e modificando a síntese proteica, destruindo o ciclo de vida da célula. A esterilização ocorre através de um mecanismo de alquilação dos grupos funcionais OH e SH destes ácidos nucleicos celulares. Esta ligação inibe a produção de proteínas específicas, e com isto a morte do agente infectante.
Dado: fórmula estrutural do óxido de etileno 
(Extraído e adaptado: Folheto técnico Air Liquide p.5. Disponível em: http://www.br.airliquide.com/file/otherelement/pj/esterelizcom relação à esteroquímica e acao_oxido_de_etileno47295.pdf. Acesso em: 13 dez 2015)
Provas
Provas
O pH de uma solução 0,001 mol/L de NaOH a 25 °C em relação a uma solução 0,0001 mol/L da mesma substância à mesma temperatura será
Dados:
Kw = 1,0 × 10−14
Provas
- Química OrgânicaReações OrgânicasReações Orgânicas: Substituição, Adição e Eliminação
- Química OrgânicaReações OrgânicasReações Orgânicas: Oxidação, Redução e Polimerização
- Química OrgânicaTipos de Reagentes e Mecanismos das Reações Orgânicas
O peróxido de benzoíla é o princípio ativo de pomadas dermatológicas contra a acne. No entanto, apresenta atividade catalítica em reações de polimerização.
Observe as duas reações abaixo.

(Adaptado de: LÁZARO FILHO, M.; Efeito do Eugenol sobre o endurecimento de Resinas Acrílicas Ativadas Quimicamente e Efeitos de Possíveis Tratamentos Paliativos. Tese de Mestrado. Faculdade de Odontologia da Universidade de São Paulo 2000. p.18)
Sobre as reações, é correto afirmar:
Provas
- Química InorgânicaSoluções e Substâncias InorgânicasSoluções: características, tipos de concentração, diluição, mistura, titulação e soluções coloidais
Pesquisadores brasileiros criaram recentemente dois tipos de ossos sintéticos, que poderão ser usados em enxertos nas áreas de medicina e odontologia. Esses novos biomateriais são formados por polímeros e principalmente por nanopartículas minerais de hidroxiapatita, uma cerâmica bioativa que induz o crescimento do tecido ósseo na área do implante.
(Adaptado de: Revista Pesquisa FAPESP, n. 227)
A fórmula da hidroxiapatita sintética é Ca10(PO4)6(OH)2. A porcentagem em massa de oxigênio nesse composto é de
Provas
Atenção: Considere a equação de decomposição da nitroglicerina abaixo para responder à questão.
4C3H5N3O9 (ℓ) → 6N2 (g) + 12CO2 (g) + 10H2O (g) + O2 (g) + 6 161 kJ
Nas CATP, o volume ocupado pelo N2(g), em litros, quando reage 1 mol de nitroglicerina é igual a
Dado:
Volume molar de qualquer gás, nas CATP = 25,0 L
Provas
Atenção: Considere as semi-reações de redução abaixo para responder à questão.
NO-3 + 4H+ + 3e- → NO + 2H2O; E0 = +0,96 V
Cu2+ + 2e− → Cu; E0 = +0,34 V
Provas
Atenção: Considere as informações abaixo para responder a questão.
Considere as reações incompletas e não balanceadas de oxidação de alcenos por permanganato de potássio:

Provas
- Química InorgânicaSoluções e Substâncias InorgânicasSoluções: características, tipos de concentração, diluição, mistura, titulação e soluções coloidais
- Sistemas de EquilíbrioSistemas Homogêneos: Equilíbrio Químico na Água
Na titulação de dois sucos de laranja com hidróxido de sódio, NaOH, 0,10 mol.L−1 foram obtidos os resultados abaixo.

Considerando apenas o ácido cítrico, um ácido triprótico, conclui-se que a laranja pera é
Provas
Caderno Container