Foram encontradas 70 questões.
Considere os seguintes compostos:

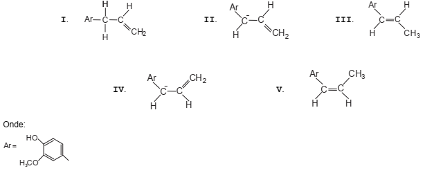
São isômeros trans e cis do isoeugenol os compostos
Provas
- Química InorgânicaSoluções e Substâncias Inorgânicas
- Sistemas de EquilíbrioSistemas Homogêneos: Equilíbrio Químico na Água
Provas
Atenção: Considere as informações abaixo para responder a questão.
Considere as reações incompletas e não balanceadas de oxidação de alcenos por permanganato de potássio:

Provas
- FundamentosPropriedades das Substâncias
- Química InorgânicaGeometria Molecular, Polaridade e Forças Intermoleculares
Atenção: Considere as informações abaixo para responder a questão.
Considere as reações incompletas e não balanceadas de oxidação de alcenos por permanganato de potássio:

Provas
O álcool isotridecílico é um álcool graxo muito utilizado na produção de tensoativos não iônicos de aplicação em indústria cosmética e têxtil quando reage com óxido de etileno como representado abaixo.

Considere a tabela, que mostra a relação entre o valor de n da equação com o HLB (balanço lipofílico-hidrofílico) do produto obtido.

Na tabela observa-se que, em função do número de unidades de óxido de etileno, o HLB varia. Com base nesta observação, é correto afirmar que a parte
Provas
- Química OrgânicaFunções Nitrogenadas: Amina, Amida, Nitrila, Isonitrila e Nitro Composto
- Química OrgânicaFunções Oxigenadas: Cetona, Aldeído, Éter, Éster, Ácido Carboxílico etc.
O mau hálito é causado pela presença de substâncias, entre outras, como a cadaverina, putrescina, escatol e ácido isovalérico que são compostos encontrados na decomposição de tecidos orgânicos.
Suas fórmulas estruturais estão representadas abaixo:

Putrescina e cadaverina, escatol e ácido isovalérico são, respectivamente,
Provas
Atenção: Considere as informações abaixo para responder a questão.
O Eugenol é empregado no alívio da dor de dente, como antisséptico em odontologia e na fabricação de dentifrícios, em perfumaria, saboaria e como clarificador em histologia. O eugenol é também usado como matéria-prima para a obtenção de vanilina que é empregada na aromatização de doces, chocolates, sorvetes e tabacos. A transformação industrial do eugenol em vanilina foi usada industrialmente por muito tempo e está representada abaixo.

Provas
- Química InorgânicaSoluções e Substâncias InorgânicasSoluções: características, tipos de concentração, diluição, mistura, titulação e soluções coloidais
Lê-se nas instruções de preparo de um suco concentrado de laranja as seguintes instruções:
Para o preparo de suco:
− dissolva uma parte do suco concentrado para sete partes de água.
Para o preparo de refresco:
− dissolva uma parte de suco concentrado para nove partes de água.
Considerando o preparo de um litro de suco e de um litro de refresco, o suco concentrado foi diluído, em cada situação, respectivamente, em
Provas
- FundamentosPropriedades das Substâncias
- Química InorgânicaGeometria Molecular, Polaridade e Forças Intermoleculares
Atenção: Considere as semi-reações de redução abaixo para responder à questão.
NO-3 + 4H+ + 3e- → NO + 2H2O; E0 = +0,96 V
Cu2+ + 2e− → Cu; E0 = +0,34 V
Provas
Considere:

Essas estruturas são de anestésicos locais usados em Odontologia. É correto afirmar que
Provas
Caderno Container