Foram encontradas 80 questões.
Provas
A tecnologia informática tem-se tornado presente no quotidiano das escolas e no desenvolvimento do processo ensino–aprendizagem. Diversos estudiosos constataram que a inserção desta tecnologia contribui para a expansão das formas habituais de utilização de recursos materiais no trabalho dos professores em sala de aula.
De todos os tópicos presentes no currículo da Matemática Básica, a geometria é o que tem experimentado as maiores e mais profundas transformações da tecnologia informática. O termo Geometria Dinâmica tem sido comumente usado para designar softwares geométricos, utilizando programas interativos que permitem a criação e a manipulação de figuras geométricas a partir de suas propriedades.
Atente para o que se afirma a seguir sobre aspectos da tecnologia informática, com especial atenção na geometria dinâmica.
I. A geometria dinâmica deve ser vista como referência para uma nova geometria.
II. O manuseio dos softwares da geometria dinâmica pode ser usado para instigar os alunos a explicar o porquê da verdade de certas conjecturas, de forma intuitiva, tornando desnecessárias as demonstrações formais.
III. A integração de métodos visuais com métodos geométricos formais, comuns nos programas de geometria dinâmica, contribui para a construção e domínio do conhecimento geométrico pelo aluno.
IV. As potencialidades dos softwares de geometria dinâmica são algumas das mais importantes características, contribuindo para o enriquecimento do processo ensino-aprendizagem da geometria, bem como com a valorização do conhecimento matemático e sua construção.
Assinale a opção que corresponde ao número de afirmações, dentre as quatro apresentadas acima, apropriadas e adequadas no contexto do uso de tecnologias informáticas no processo de ensino-aprendizagem, como aqui focalizado.
Provas
Provas
- Agentes PúblicosCargos, Empregos e Funções PúblicasAcessoConcurso Público
- Agentes PúblicosCargos, Empregos e Funções PúblicasFormas de Provimento
- Lei 8.112/1990: RJU
Provas
Provas
Provas
ATENÇÃO!
• Para responder à questão, as funções reais de variável real consideradas são:

• Os domínios e os conjuntos imagem (ou conjunto de valores) destas funções são identificados por: Dom(f), Im(f), Dom(g) e Im(g) respectivamente.
• R representa o conjunto dos números reais.
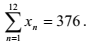
A sequência de números reais (xn) definida por x1 = x2 = 1 e para n > 2, xn = xn-1 + xn-2 é chamada de sequência de Fibonacci em homenagem a Leonardo de Pisa (1170-1250), filho de Bonaccio, e por isso apelidado de Fibonacci.
Sobre a sequência de Fibonacci, é correto afirmar que
Provas
Provas
Provas
Provas
Caderno Container