Foram encontradas 80 questões.
ATENÇÃO!
• A questão versa sobre matrizes, determinantes e sistemas lineares.
• A matriz
,
considerada nas questões,
é particularmente curiosa, porque, ao
considerarmos o produto Mn = M.M.M..... .M (n
fatores), observa-se a geração da sequência de
Fibonacci.
Se
é solução da equação matricial
, então, o valor da soma x0 + y0 é
igual a
Provas
ATENÇÃO!
• A questão versa sobre matrizes, determinantes e sistemas lineares.
• A matriz
,
considerada nas questões,
é particularmente curiosa, porque, ao
considerarmos o produto Mn = M.M.M..... .M (n
fatores), observa-se a geração da sequência de
Fibonacci.
Como o determinante de M é não nulo, a
matriz M é invertível. Se sua inversa é da forma
, então, o resultado da expressão
numérica 5a + 4b + 3c + 2d é
Provas
ATENÇÃO!
• Para responder à questão, as funções reais de variável real consideradas são:

• Os domínios e os conjuntos imagem (ou conjunto de valores) destas funções são identificados por: Dom(f), Im(f), Dom(g) e Im(g) respectivamente.
• R representa o conjunto dos números reais.
Provas
ATENÇÃO!
• Para responder à questão, as funções reais de variável real consideradas são:

• Os domínios e os conjuntos imagem (ou conjunto de valores) destas funções são identificados por: Dom(f), Im(f), Dom(g) e Im(g) respectivamente.
• R representa o conjunto dos números reais.
Provas
ATENÇÃO!
• Para responder à questão, as funções reais de variável real consideradas são:

• Os domínios e os conjuntos imagem (ou conjunto de valores) destas funções são identificados por: Dom(f), Im(f), Dom(g) e Im(g) respectivamente.
• R representa o conjunto dos números reais.
Provas
ATENÇÃO!
• Para responder à questão, as funções reais de variável real consideradas são:

• Os domínios e os conjuntos imagem (ou conjunto de valores) destas funções são identificados por: Dom(f), Im(f), Dom(g) e Im(g) respectivamente.
• R representa o conjunto dos números reais.
Provas
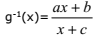
ATENÇÃO!
• Para responder à questão, as funções reais de variável real consideradas são:

• Os domínios e os conjuntos imagem (ou conjunto de valores) destas funções são identificados por: Dom(f), Im(f), Dom(g) e Im(g) respectivamente.
• R representa o conjunto dos números reais.
A função g : R – { p} →R – { q} é invertível.
Sua inversa g-1: R – { q} → R – { p} tem a forma
com a, b e c constantes. Nestas
condições a soma a + b + c é igual a
Provas
ATENÇÃO!
• Para responder à questão, as funções reais de variável real consideradas são:

• Os domínios e os conjuntos imagem (ou conjunto de valores) destas funções são identificados por: Dom(f), Im(f), Dom(g) e Im(g) respectivamente.
• R representa o conjunto dos números reais.
Provas
O valor da soma
significa
combinação de n elementos tomados p a p, é igual a
Provas
Para todo número natural n ≥ 2, o valor
numérico de
é

Provas
Caderno Container