Foram encontradas 50 questões.
Em uma festa de aniversário, após os convidados desejarem
felicidades ao aniversariante, iniciou-se a repartição
do bolo. Neste momento, duas pessoas tiveram de sair rapidamente
da festa, mas levaram pedaços de bolo. A primeira
pessoa ficou com a quinta parte, já a segunda levou
a sexta parte do que restou. Após esta repartição, os doze
convidados restantes resolveram que o bolo deveria ser
dividido em partes iguais. Qual a fração que representa a
parte do bolo que cada um desses convidados levou para
casa?
Provas
Questão presente nas seguintes provas
De 1984 a 2010
No romance "1984", de George Orwell, o personagem principal trabalha alterando os arquivos históricos para moldar as consciências para o bom convívio social. Chegamos à época em que essa distopia (contrário de utopia) virou realidade. Só que, desta vez, pelas mãos dos herdeiros dos projetos utópicos "mais bem-intencionados".
Porém, antes, um reparo. A política é um mal necessário, mas existem formas e formas de política. A minha pode ser entendi- da como uma política herdada de autores como Isaiah Berlin, filósofo e historiador das ideias do século 20, judeu nascido em Riga, Letônia, radicado na Inglaterra. Em matéria de política, prefiro sempre os britânicos aos franceses ou alemães. Tal como ele diz em seu recém-publicado no Brasil "Idéias Políticas na Era Romântica" (Cia. das Letras), prefiro a liberdade à felicidade.
A felicidade se declina no plural, porque os valores são conflitantes e não acredito em nenhuma forma de resolver essas diferenças. A melhor sociedade é a sociedade na qual ninguém tem razão (ninguém sabe a verdade definitiva sobre o bem e o mal), mas um número significativo de pessoas consegue conviver razoavelmente, mesmo sem saber a verdade sobre o bem e o mal.
O furor coletivo de "verdades do bem" deve ser mantido sob controle rígido assim como delírios de um serial killer numa noite de calor insuportável. A sociedade é o lugar do apenas tolerável.
E a profecia de Orwell? Todo mundo já tinha ouvido falar que na China o governo estaria alterando os livros de história das escolas para que a Revolução Cultural Chinesa (uma das maiores monstruosidades cometidas na história da humanidade) desaparecesse da memória das gerações mais jovens. Valelembrar que muitas das pessoas que entre nós se preparam para assumir o governo concordavam com aquelas atrocidades: matar, saquear, sequestrar gente inocente.
Mas o que dizer de países democráticos como o Canadá? Recentemente, estudantes e professores "amantes da liberdade" quase lincharam uma intelectual americana, Ann Coulter, e impediram que ela falasse numa universidade. Não ouvi nenhum dos intelectuais de plantão defendê-la. Era de esperar que muitas mulheres do mundo das letras não o fizessem, uma vez que ela é loira e gostosa, pecados imperdoáveis para intelectuais feias e azedas. A causa da fúria da "comunidade intelectual" da universidade no Canadá era porque essa loira conservadora é conhecida por não rezar na cartilha dos opressores "do bem". O Canadá é um dos países mais totalitários no que se refere à repressão ao uso livre da linguagem e à crítica aos costumes da nova casta fascista que empesteia o mundo.
Lá, de repente, você pode ser preso porque usou uma palavra que esta casta julga inapropriada. Toda vez que estamos diante do controle oficial da língua, estamos diante de um regime opressor.
Mas fiquemos em nossa cozinha e deixemos os canadenses afogados em seu fascismo do de Outro dia vi na mão de uma colega uma foto do "novo Saci". Tiraram o cachimbo da boca do Saci. Eu, que sou um amante de cachimbos e charutos cubanos (e viva la Revolución!!), me senti diretamente afetado. Meu irmão de fé, o Saci, está sendo reprimido. A ideia é que, com cachimbo, ele é um mau exemplo para as crianças. Imagino que esses caras acham que bom exemplo é mulher vestida de homem coçando o saco.
Outro caso recente é a perseguição a velhas cantigas de roda e histórias infantis. Por exemplo, o "atirei o pau no gato" deve virar "não atire o pau no gato" para que as crianças não cresçam espancando gatos por aí. O fascismo "verde" chega ao ponto de tirar das crianças uma música divertida para torná-las defensoras dos gatos.
Lembro-me de meninas na minha infância que cantavam essas músicas e ainda assim choravam quando os meninos ensaiavam torturar pequenos animais só para vê-las chorar e assim chegar perto delas. Como era bom jogar baratas mortas no lanche das meninas só para ver elas pularem deliciosamente das suas cadeiras em lágrimas.
O Lobo Mau não pode mais ser mau e comer a vovozinha da Chapeuzinho Vermelho. Muito menos o Caçador pode salvá-la, porque estaria estimulando às meninas sonharem com príncipes encantados. O novo fascismo quer que os lobos sejam bonzinhos (pobres lobos) e que as meninas não sonhem com caçadores que as protejam (coitadas). Sim, 1984 é agora.
PONDÉ, Luiz Felipe. De 1984 a 2010. In: Folha de S. Paulo. 5 abr. 2010.
A alteração dos livros de história das escolas da China, o quase linchamento da intelectual americana no Canadá, a retirada do cachimbo da boca do Saci e a mudança das letras das canções infantis são exemplos apresentados pelo autor para dar crédito à sua tese. O trecho que explicita melhor a tese reforçada por tais exemplos é:No romance "1984", de George Orwell, o personagem principal trabalha alterando os arquivos históricos para moldar as consciências para o bom convívio social. Chegamos à época em que essa distopia (contrário de utopia) virou realidade. Só que, desta vez, pelas mãos dos herdeiros dos projetos utópicos "mais bem-intencionados".
Porém, antes, um reparo. A política é um mal necessário, mas existem formas e formas de política. A minha pode ser entendi- da como uma política herdada de autores como Isaiah Berlin, filósofo e historiador das ideias do século 20, judeu nascido em Riga, Letônia, radicado na Inglaterra. Em matéria de política, prefiro sempre os britânicos aos franceses ou alemães. Tal como ele diz em seu recém-publicado no Brasil "Idéias Políticas na Era Romântica" (Cia. das Letras), prefiro a liberdade à felicidade.
A felicidade se declina no plural, porque os valores são conflitantes e não acredito em nenhuma forma de resolver essas diferenças. A melhor sociedade é a sociedade na qual ninguém tem razão (ninguém sabe a verdade definitiva sobre o bem e o mal), mas um número significativo de pessoas consegue conviver razoavelmente, mesmo sem saber a verdade sobre o bem e o mal.
O furor coletivo de "verdades do bem" deve ser mantido sob controle rígido assim como delírios de um serial killer numa noite de calor insuportável. A sociedade é o lugar do apenas tolerável.
E a profecia de Orwell? Todo mundo já tinha ouvido falar que na China o governo estaria alterando os livros de história das escolas para que a Revolução Cultural Chinesa (uma das maiores monstruosidades cometidas na história da humanidade) desaparecesse da memória das gerações mais jovens. Valelembrar que muitas das pessoas que entre nós se preparam para assumir o governo concordavam com aquelas atrocidades: matar, saquear, sequestrar gente inocente.
Mas o que dizer de países democráticos como o Canadá? Recentemente, estudantes e professores "amantes da liberdade" quase lincharam uma intelectual americana, Ann Coulter, e impediram que ela falasse numa universidade. Não ouvi nenhum dos intelectuais de plantão defendê-la. Era de esperar que muitas mulheres do mundo das letras não o fizessem, uma vez que ela é loira e gostosa, pecados imperdoáveis para intelectuais feias e azedas. A causa da fúria da "comunidade intelectual" da universidade no Canadá era porque essa loira conservadora é conhecida por não rezar na cartilha dos opressores "do bem". O Canadá é um dos países mais totalitários no que se refere à repressão ao uso livre da linguagem e à crítica aos costumes da nova casta fascista que empesteia o mundo.
Lá, de repente, você pode ser preso porque usou uma palavra que esta casta julga inapropriada. Toda vez que estamos diante do controle oficial da língua, estamos diante de um regime opressor.
Mas fiquemos em nossa cozinha e deixemos os canadenses afogados em seu fascismo do de Outro dia vi na mão de uma colega uma foto do "novo Saci". Tiraram o cachimbo da boca do Saci. Eu, que sou um amante de cachimbos e charutos cubanos (e viva la Revolución!!), me senti diretamente afetado. Meu irmão de fé, o Saci, está sendo reprimido. A ideia é que, com cachimbo, ele é um mau exemplo para as crianças. Imagino que esses caras acham que bom exemplo é mulher vestida de homem coçando o saco.
Outro caso recente é a perseguição a velhas cantigas de roda e histórias infantis. Por exemplo, o "atirei o pau no gato" deve virar "não atire o pau no gato" para que as crianças não cresçam espancando gatos por aí. O fascismo "verde" chega ao ponto de tirar das crianças uma música divertida para torná-las defensoras dos gatos.
Lembro-me de meninas na minha infância que cantavam essas músicas e ainda assim choravam quando os meninos ensaiavam torturar pequenos animais só para vê-las chorar e assim chegar perto delas. Como era bom jogar baratas mortas no lanche das meninas só para ver elas pularem deliciosamente das suas cadeiras em lágrimas.
O Lobo Mau não pode mais ser mau e comer a vovozinha da Chapeuzinho Vermelho. Muito menos o Caçador pode salvá-la, porque estaria estimulando às meninas sonharem com príncipes encantados. O novo fascismo quer que os lobos sejam bonzinhos (pobres lobos) e que as meninas não sonhem com caçadores que as protejam (coitadas). Sim, 1984 é agora.
PONDÉ, Luiz Felipe. De 1984 a 2010. In: Folha de S. Paulo. 5 abr. 2010.
Provas
Questão presente nas seguintes provas
De 1984 a 2010
No romance "1984", de George Orwell, o personagem principal trabalha alterando os arquivos históricos para moldar as consciências para o bom convívio social. Chegamos à época em que essa distopia (contrário de utopia) virou realidade. Só que, desta vez, pelas mãos dos herdeiros dos projetos utópicos "mais bem-intencionados".
Porém, antes, um reparo. A política é um mal necessário, mas existem formas e formas de política. A minha pode ser entendi- da como uma política herdada de autores como Isaiah Berlin, filósofo e historiador das ideias do século 20, judeu nascido em Riga, Letônia, radicado na Inglaterra. Em matéria de política, prefiro sempre os britânicos aos franceses ou alemães. Tal como ele diz em seu recém-publicado no Brasil "Idéias Políticas na Era Romântica" (Cia. das Letras), prefiro a liberdade à felicidade.
A felicidade se declina no plural, porque os valores são conflitantes e não acredito em nenhuma forma de resolver essas diferenças. A melhor sociedade é a sociedade na qual ninguém tem razão (ninguém sabe a verdade definitiva sobre o bem e o mal), mas um número significativo de pessoas consegue conviver razoavelmente, mesmo sem saber a verdade sobre o bem e o mal.
O furor coletivo de "verdades do bem" deve ser mantido sob controle rígido assim como delírios de um serial killer numa noite de calor insuportável. A sociedade é o lugar do apenas tolerável.
E a profecia de Orwell? Todo mundo já tinha ouvido falar que na China o governo estaria alterando os livros de história das escolas para que a Revolução Cultural Chinesa (uma das maiores monstruosidades cometidas na história da humanidade) desaparecesse da memória das gerações mais jovens. Valelembrar que muitas das pessoas que entre nós se preparam para assumir o governo concordavam com aquelas atrocidades: matar, saquear, sequestrar gente inocente.
Mas o que dizer de países democráticos como o Canadá? Recentemente, estudantes e professores "amantes da liberdade" quase lincharam uma intelectual americana, Ann Coulter, e impediram que ela falasse numa universidade. Não ouvi nenhum dos intelectuais de plantão defendê-la. Era de esperar que muitas mulheres do mundo das letras não o fizessem, uma vez que ela é loira e gostosa, pecados imperdoáveis para intelectuais feias e azedas. A causa da fúria da "comunidade intelectual" da universidade no Canadá era porque essa loira conservadora é conhecida por não rezar na cartilha dos opressores "do bem". O Canadá é um dos países mais totalitários no que se refere à repressão ao uso livre da linguagem e à crítica aos costumes da nova casta fascista que empesteia o mundo.
Lá, de repente, você pode ser preso porque usou uma palavra que esta casta julga inapropriada. Toda vez que estamos diante do controle oficial da língua, estamos diante de um regime opressor.
Mas fiquemos em nossa cozinha e deixemos os canadenses afogados em seu fascismo do de Outro dia vi na mão de uma colega uma foto do "novo Saci". Tiraram o cachimbo da boca do Saci. Eu, que sou um amante de cachimbos e charutos cubanos (e viva la Revolución!!), me senti diretamente afetado. Meu irmão de fé, o Saci, está sendo reprimido. A ideia é que, com cachimbo, ele é um mau exemplo para as crianças. Imagino que esses caras acham que bom exemplo é mulher vestida de homem coçando o saco.
Outro caso recente é a perseguição a velhas cantigas de roda e histórias infantis. Por exemplo, o "atirei o pau no gato" deve virar "não atire o pau no gato" para que as crianças não cresçam espancando gatos por aí. O fascismo "verde" chega ao ponto de tirar das crianças uma música divertida para torná-las defensoras dos gatos.
Lembro-me de meninas na minha infância que cantavam essas músicas e ainda assim choravam quando os meninos ensaiavam torturar pequenos animais só para vê-las chorar e assim chegar perto delas. Como era bom jogar baratas mortas no lanche das meninas só para ver elas pularem deliciosamente das suas cadeiras em lágrimas.
O Lobo Mau não pode mais ser mau e comer a vovozinha da Chapeuzinho Vermelho. Muito menos o Caçador pode salvá-la, porque estaria estimulando às meninas sonharem com príncipes encantados. O novo fascismo quer que os lobos sejam bonzinhos (pobres lobos) e que as meninas não sonhem com caçadores que as protejam (coitadas). Sim, 1984 é agora.
PONDÉ, Luiz Felipe. De 1984 a 2010. In: Folha de S. Paulo. 5 abr. 2010.
A expressão “amantes da liberdade” foi utilizada pelo autor paraNo romance "1984", de George Orwell, o personagem principal trabalha alterando os arquivos históricos para moldar as consciências para o bom convívio social. Chegamos à época em que essa distopia (contrário de utopia) virou realidade. Só que, desta vez, pelas mãos dos herdeiros dos projetos utópicos "mais bem-intencionados".
Porém, antes, um reparo. A política é um mal necessário, mas existem formas e formas de política. A minha pode ser entendi- da como uma política herdada de autores como Isaiah Berlin, filósofo e historiador das ideias do século 20, judeu nascido em Riga, Letônia, radicado na Inglaterra. Em matéria de política, prefiro sempre os britânicos aos franceses ou alemães. Tal como ele diz em seu recém-publicado no Brasil "Idéias Políticas na Era Romântica" (Cia. das Letras), prefiro a liberdade à felicidade.
A felicidade se declina no plural, porque os valores são conflitantes e não acredito em nenhuma forma de resolver essas diferenças. A melhor sociedade é a sociedade na qual ninguém tem razão (ninguém sabe a verdade definitiva sobre o bem e o mal), mas um número significativo de pessoas consegue conviver razoavelmente, mesmo sem saber a verdade sobre o bem e o mal.
O furor coletivo de "verdades do bem" deve ser mantido sob controle rígido assim como delírios de um serial killer numa noite de calor insuportável. A sociedade é o lugar do apenas tolerável.
E a profecia de Orwell? Todo mundo já tinha ouvido falar que na China o governo estaria alterando os livros de história das escolas para que a Revolução Cultural Chinesa (uma das maiores monstruosidades cometidas na história da humanidade) desaparecesse da memória das gerações mais jovens. Valelembrar que muitas das pessoas que entre nós se preparam para assumir o governo concordavam com aquelas atrocidades: matar, saquear, sequestrar gente inocente.
Mas o que dizer de países democráticos como o Canadá? Recentemente, estudantes e professores "amantes da liberdade" quase lincharam uma intelectual americana, Ann Coulter, e impediram que ela falasse numa universidade. Não ouvi nenhum dos intelectuais de plantão defendê-la. Era de esperar que muitas mulheres do mundo das letras não o fizessem, uma vez que ela é loira e gostosa, pecados imperdoáveis para intelectuais feias e azedas. A causa da fúria da "comunidade intelectual" da universidade no Canadá era porque essa loira conservadora é conhecida por não rezar na cartilha dos opressores "do bem". O Canadá é um dos países mais totalitários no que se refere à repressão ao uso livre da linguagem e à crítica aos costumes da nova casta fascista que empesteia o mundo.
Lá, de repente, você pode ser preso porque usou uma palavra que esta casta julga inapropriada. Toda vez que estamos diante do controle oficial da língua, estamos diante de um regime opressor.
Mas fiquemos em nossa cozinha e deixemos os canadenses afogados em seu fascismo do de Outro dia vi na mão de uma colega uma foto do "novo Saci". Tiraram o cachimbo da boca do Saci. Eu, que sou um amante de cachimbos e charutos cubanos (e viva la Revolución!!), me senti diretamente afetado. Meu irmão de fé, o Saci, está sendo reprimido. A ideia é que, com cachimbo, ele é um mau exemplo para as crianças. Imagino que esses caras acham que bom exemplo é mulher vestida de homem coçando o saco.
Outro caso recente é a perseguição a velhas cantigas de roda e histórias infantis. Por exemplo, o "atirei o pau no gato" deve virar "não atire o pau no gato" para que as crianças não cresçam espancando gatos por aí. O fascismo "verde" chega ao ponto de tirar das crianças uma música divertida para torná-las defensoras dos gatos.
Lembro-me de meninas na minha infância que cantavam essas músicas e ainda assim choravam quando os meninos ensaiavam torturar pequenos animais só para vê-las chorar e assim chegar perto delas. Como era bom jogar baratas mortas no lanche das meninas só para ver elas pularem deliciosamente das suas cadeiras em lágrimas.
O Lobo Mau não pode mais ser mau e comer a vovozinha da Chapeuzinho Vermelho. Muito menos o Caçador pode salvá-la, porque estaria estimulando às meninas sonharem com príncipes encantados. O novo fascismo quer que os lobos sejam bonzinhos (pobres lobos) e que as meninas não sonhem com caçadores que as protejam (coitadas). Sim, 1984 é agora.
PONDÉ, Luiz Felipe. De 1984 a 2010. In: Folha de S. Paulo. 5 abr. 2010.
Provas
Questão presente nas seguintes provas
O pensamento pós-moderno questiona os limites do projeto de racionalidade moderna e suas pretensões universalistas sobre o progresso, a felicidade e a liberdade. O mundo moderno, baseado na cultura ocidental e em suas tecnologias, ancora-se na certeza e na ordem, a pós-modernidade, por sua vez, caracteriza-se pela:
Provas
Questão presente nas seguintes provas

Conforme o texto dos quadrinhos, a língua oferece recursos para que seu usuário possa expressar com palavras o modo de realização de uma ação, as atitudes, as características e os sentimentos de personagens. Com base nessa afirmação, pode-se depreender que o
Provas
Questão presente nas seguintes provas

O fenômeno gramatical que possibilitou, no texto, acriação do efeito de lentidão no verbo “converter"é
Provas
Questão presente nas seguintes provas
De 1984 a 2010
No romance "1984", de George Orwell, o personagem principal trabalha alterando os arquivos históricos para moldar as consciências para o bom convívio social. Chegamos à época em que essa distopia (contrário de utopia) virou realidade. Só que, desta vez, pelas mãos dos herdeiros dos projetos utópicos "mais bem-intencionados".
Porém, antes, um reparo. A política é um mal necessário, mas existem formas e formas de política. A minha pode ser entendi- da como uma política herdada de autores como Isaiah Berlin, filósofo e historiador das ideias do século 20, judeu nascido em Riga, Letônia, radicado na Inglaterra. Em matéria de política, prefiro sempre os britânicos aos franceses ou alemães. Tal como ele diz em seu recém-publicado no Brasil "Idéias Políticas na Era Romântica" (Cia. das Letras), prefiro a liberdade à felicidade.
A felicidade se declina no plural, porque os valores são conflitantes e não acredito em nenhuma forma de resolver essas diferenças. A melhor sociedade é a sociedade na qual ninguém tem razão (ninguém sabe a verdade definitiva sobre o bem e o mal), mas um número significativo de pessoas consegue conviver razoavelmente, mesmo sem saber a verdade sobre o bem e o mal.
O furor coletivo de "verdades do bem" deve ser mantido sob controle rígido assim como delírios de um serial killer numa noite de calor insuportável. A sociedade é o lugar do apenas tolerável.
E a profecia de Orwell? Todo mundo já tinha ouvido falar que na China o governo estaria alterando os livros de história das escolas para que a Revolução Cultural Chinesa (uma das maiores monstruosidades cometidas na história da humanidade) desaparecesse da memória das gerações mais jovens. Valelembrar que muitas das pessoas que entre nós se preparam para assumir o governo concordavam com aquelas atrocidades: matar, saquear, sequestrar gente inocente.
Mas o que dizer de países democráticos como o Canadá? Recentemente, estudantes e professores "amantes da liberdade" quase lincharam uma intelectual americana, Ann Coulter, e impediram que ela falasse numa universidade. Não ouvi nenhum dos intelectuais de plantão defendê-la. Era de esperar que muitas mulheres do mundo das letras não o fizessem, uma vez que ela é loira e gostosa, pecados imperdoáveis para intelectuais feias e azedas. A causa da fúria da "comunidade intelectual" da universidade no Canadá era porque essa loira conservadora é conhecida por não rezar na cartilha dos opressores "do bem". O Canadá é um dos países mais totalitários no que se refere à repressão ao uso livre da linguagem e à crítica aos costumes da nova casta fascista que empesteia o mundo.
Lá, de repente, você pode ser preso porque usou uma palavra que esta casta julga inapropriada. Toda vez que estamos diante do controle oficial da língua, estamos diante de um regime opressor.
Mas fiquemos em nossa cozinha e deixemos os canadenses afogados em seu fascismo do de Outro dia vi na mão de uma colega uma foto do "novo Saci". Tiraram o cachimbo da boca do Saci. Eu, que sou um amante de cachimbos e charutos cubanos (e viva la Revolución!!), me senti diretamente afetado. Meu irmão de fé, o Saci, está sendo reprimido. A ideia é que, com cachimbo, ele é um mau exemplo para as crianças. Imagino que esses caras acham que bom exemplo é mulher vestida de homem coçando o saco.
Outro caso recente é a perseguição a velhas cantigas de roda e histórias infantis. Por exemplo, o "atirei o pau no gato" deve virar "não atire o pau no gato" para que as crianças não cresçam espancando gatos por aí. O fascismo "verde" chega ao ponto de tirar das crianças uma música divertida para torná-las defensoras dos gatos.
Lembro-me de meninas na minha infância que cantavam essas músicas e ainda assim choravam quando os meninos ensaiavam torturar pequenos animais só para vê-las chorar e assim chegar perto delas. Como era bom jogar baratas mortas no lanche das meninas só para ver elas pularem deliciosamente das suas cadeiras em lágrimas.
O Lobo Mau não pode mais ser mau e comer a vovozinha da Chapeuzinho Vermelho. Muito menos o Caçador pode salvá-la, porque estaria estimulando às meninas sonharem com príncipes encantados. O novo fascismo quer que os lobos sejam bonzinhos (pobres lobos) e que as meninas não sonhem com caçadores que as protejam (coitadas). Sim, 1984 é agora.
PONDÉ, Luiz Felipe. De 1984 a 2010. In: Folha de S. Paulo. 5 abr. 2010.
Considere a frase conclusiva “Sim, 1984 é agora" do texto de Pondé para responder à questão.No romance "1984", de George Orwell, o personagem principal trabalha alterando os arquivos históricos para moldar as consciências para o bom convívio social. Chegamos à época em que essa distopia (contrário de utopia) virou realidade. Só que, desta vez, pelas mãos dos herdeiros dos projetos utópicos "mais bem-intencionados".
Porém, antes, um reparo. A política é um mal necessário, mas existem formas e formas de política. A minha pode ser entendi- da como uma política herdada de autores como Isaiah Berlin, filósofo e historiador das ideias do século 20, judeu nascido em Riga, Letônia, radicado na Inglaterra. Em matéria de política, prefiro sempre os britânicos aos franceses ou alemães. Tal como ele diz em seu recém-publicado no Brasil "Idéias Políticas na Era Romântica" (Cia. das Letras), prefiro a liberdade à felicidade.
A felicidade se declina no plural, porque os valores são conflitantes e não acredito em nenhuma forma de resolver essas diferenças. A melhor sociedade é a sociedade na qual ninguém tem razão (ninguém sabe a verdade definitiva sobre o bem e o mal), mas um número significativo de pessoas consegue conviver razoavelmente, mesmo sem saber a verdade sobre o bem e o mal.
O furor coletivo de "verdades do bem" deve ser mantido sob controle rígido assim como delírios de um serial killer numa noite de calor insuportável. A sociedade é o lugar do apenas tolerável.
E a profecia de Orwell? Todo mundo já tinha ouvido falar que na China o governo estaria alterando os livros de história das escolas para que a Revolução Cultural Chinesa (uma das maiores monstruosidades cometidas na história da humanidade) desaparecesse da memória das gerações mais jovens. Valelembrar que muitas das pessoas que entre nós se preparam para assumir o governo concordavam com aquelas atrocidades: matar, saquear, sequestrar gente inocente.
Mas o que dizer de países democráticos como o Canadá? Recentemente, estudantes e professores "amantes da liberdade" quase lincharam uma intelectual americana, Ann Coulter, e impediram que ela falasse numa universidade. Não ouvi nenhum dos intelectuais de plantão defendê-la. Era de esperar que muitas mulheres do mundo das letras não o fizessem, uma vez que ela é loira e gostosa, pecados imperdoáveis para intelectuais feias e azedas. A causa da fúria da "comunidade intelectual" da universidade no Canadá era porque essa loira conservadora é conhecida por não rezar na cartilha dos opressores "do bem". O Canadá é um dos países mais totalitários no que se refere à repressão ao uso livre da linguagem e à crítica aos costumes da nova casta fascista que empesteia o mundo.
Lá, de repente, você pode ser preso porque usou uma palavra que esta casta julga inapropriada. Toda vez que estamos diante do controle oficial da língua, estamos diante de um regime opressor.
Mas fiquemos em nossa cozinha e deixemos os canadenses afogados em seu fascismo do de Outro dia vi na mão de uma colega uma foto do "novo Saci". Tiraram o cachimbo da boca do Saci. Eu, que sou um amante de cachimbos e charutos cubanos (e viva la Revolución!!), me senti diretamente afetado. Meu irmão de fé, o Saci, está sendo reprimido. A ideia é que, com cachimbo, ele é um mau exemplo para as crianças. Imagino que esses caras acham que bom exemplo é mulher vestida de homem coçando o saco.
Outro caso recente é a perseguição a velhas cantigas de roda e histórias infantis. Por exemplo, o "atirei o pau no gato" deve virar "não atire o pau no gato" para que as crianças não cresçam espancando gatos por aí. O fascismo "verde" chega ao ponto de tirar das crianças uma música divertida para torná-las defensoras dos gatos.
Lembro-me de meninas na minha infância que cantavam essas músicas e ainda assim choravam quando os meninos ensaiavam torturar pequenos animais só para vê-las chorar e assim chegar perto delas. Como era bom jogar baratas mortas no lanche das meninas só para ver elas pularem deliciosamente das suas cadeiras em lágrimas.
O Lobo Mau não pode mais ser mau e comer a vovozinha da Chapeuzinho Vermelho. Muito menos o Caçador pode salvá-la, porque estaria estimulando às meninas sonharem com príncipes encantados. O novo fascismo quer que os lobos sejam bonzinhos (pobres lobos) e que as meninas não sonhem com caçadores que as protejam (coitadas). Sim, 1984 é agora.
PONDÉ, Luiz Felipe. De 1984 a 2010. In: Folha de S. Paulo. 5 abr. 2010.
Considerando que o romance 1984 de Orwell foi publicado em 1949, a constatação final, “Sim, 1984 é agora", produz uma ironia por meio de
Provas
Questão presente nas seguintes provas
De 1984 a 2010
No romance "1984", de George Orwell, o personagem principal trabalha alterando os arquivos históricos para moldar as consciências para o bom convívio social. Chegamos à época em que essa distopia (contrário de utopia) virou realidade. Só que, desta vez, pelas mãos dos herdeiros dos projetos utópicos "mais bem-intencionados".
Porém, antes, um reparo. A política é um mal necessário, mas existem formas e formas de política. A minha pode ser entendi- da como uma política herdada de autores como Isaiah Berlin, filósofo e historiador das ideias do século 20, judeu nascido em Riga, Letônia, radicado na Inglaterra. Em matéria de política, prefiro sempre os britânicos aos franceses ou alemães. Tal como ele diz em seu recém-publicado no Brasil "Idéias Políticas na Era Romântica" (Cia. das Letras), prefiro a liberdade à felicidade.
A felicidade se declina no plural, porque os valores são conflitantes e não acredito em nenhuma forma de resolver essas diferenças. A melhor sociedade é a sociedade na qual ninguém tem razão (ninguém sabe a verdade definitiva sobre o bem e o mal), mas um número significativo de pessoas consegue conviver razoavelmente, mesmo sem saber a verdade sobre o bem e o mal.
O furor coletivo de "verdades do bem" deve ser mantido sob controle rígido assim como delírios de um serial killer numa noite de calor insuportável. A sociedade é o lugar do apenas tolerável.
E a profecia de Orwell? Todo mundo já tinha ouvido falar que na China o governo estaria alterando os livros de história das escolas para que a Revolução Cultural Chinesa (uma das maiores monstruosidades cometidas na história da humanidade) desaparecesse da memória das gerações mais jovens. Valelembrar que muitas das pessoas que entre nós se preparam para assumir o governo concordavam com aquelas atrocidades: matar, saquear, sequestrar gente inocente.
Mas o que dizer de países democráticos como o Canadá? Recentemente, estudantes e professores "amantes da liberdade" quase lincharam uma intelectual americana, Ann Coulter, e impediram que ela falasse numa universidade. Não ouvi nenhum dos intelectuais de plantão defendê-la. Era de esperar que muitas mulheres do mundo das letras não o fizessem, uma vez que ela é loira e gostosa, pecados imperdoáveis para intelectuais feias e azedas. A causa da fúria da "comunidade intelectual" da universidade no Canadá era porque essa loira conservadora é conhecida por não rezar na cartilha dos opressores "do bem". O Canadá é um dos países mais totalitários no que se refere à repressão ao uso livre da linguagem e à crítica aos costumes da nova casta fascista que empesteia o mundo.
Lá, de repente, você pode ser preso porque usou uma palavra que esta casta julga inapropriada. Toda vez que estamos diante do controle oficial da língua, estamos diante de um regime opressor.
Mas fiquemos em nossa cozinha e deixemos os canadenses afogados em seu fascismo do de Outro dia vi na mão de uma colega uma foto do "novo Saci". Tiraram o cachimbo da boca do Saci. Eu, que sou um amante de cachimbos e charutos cubanos (e viva la Revolución!!), me senti diretamente afetado. Meu irmão de fé, o Saci, está sendo reprimido. A ideia é que, com cachimbo, ele é um mau exemplo para as crianças. Imagino que esses caras acham que bom exemplo é mulher vestida de homem coçando o saco.
Outro caso recente é a perseguição a velhas cantigas de roda e histórias infantis. Por exemplo, o "atirei o pau no gato" deve virar "não atire o pau no gato" para que as crianças não cresçam espancando gatos por aí. O fascismo "verde" chega ao ponto de tirar das crianças uma música divertida para torná-las defensoras dos gatos.
Lembro-me de meninas na minha infância que cantavam essas músicas e ainda assim choravam quando os meninos ensaiavam torturar pequenos animais só para vê-las chorar e assim chegar perto delas. Como era bom jogar baratas mortas no lanche das meninas só para ver elas pularem deliciosamente das suas cadeiras em lágrimas.
O Lobo Mau não pode mais ser mau e comer a vovozinha da Chapeuzinho Vermelho. Muito menos o Caçador pode salvá-la, porque estaria estimulando às meninas sonharem com príncipes encantados. O novo fascismo quer que os lobos sejam bonzinhos (pobres lobos) e que as meninas não sonhem com caçadores que as protejam (coitadas). Sim, 1984 é agora.
PONDÉ, Luiz Felipe. De 1984 a 2010. In: Folha de S. Paulo. 5 abr. 2010.
Considere a frase conclusiva “Sim, 1984 é agora" do texto de Pondé para responder à questão.No romance "1984", de George Orwell, o personagem principal trabalha alterando os arquivos históricos para moldar as consciências para o bom convívio social. Chegamos à época em que essa distopia (contrário de utopia) virou realidade. Só que, desta vez, pelas mãos dos herdeiros dos projetos utópicos "mais bem-intencionados".
Porém, antes, um reparo. A política é um mal necessário, mas existem formas e formas de política. A minha pode ser entendi- da como uma política herdada de autores como Isaiah Berlin, filósofo e historiador das ideias do século 20, judeu nascido em Riga, Letônia, radicado na Inglaterra. Em matéria de política, prefiro sempre os britânicos aos franceses ou alemães. Tal como ele diz em seu recém-publicado no Brasil "Idéias Políticas na Era Romântica" (Cia. das Letras), prefiro a liberdade à felicidade.
A felicidade se declina no plural, porque os valores são conflitantes e não acredito em nenhuma forma de resolver essas diferenças. A melhor sociedade é a sociedade na qual ninguém tem razão (ninguém sabe a verdade definitiva sobre o bem e o mal), mas um número significativo de pessoas consegue conviver razoavelmente, mesmo sem saber a verdade sobre o bem e o mal.
O furor coletivo de "verdades do bem" deve ser mantido sob controle rígido assim como delírios de um serial killer numa noite de calor insuportável. A sociedade é o lugar do apenas tolerável.
E a profecia de Orwell? Todo mundo já tinha ouvido falar que na China o governo estaria alterando os livros de história das escolas para que a Revolução Cultural Chinesa (uma das maiores monstruosidades cometidas na história da humanidade) desaparecesse da memória das gerações mais jovens. Valelembrar que muitas das pessoas que entre nós se preparam para assumir o governo concordavam com aquelas atrocidades: matar, saquear, sequestrar gente inocente.
Mas o que dizer de países democráticos como o Canadá? Recentemente, estudantes e professores "amantes da liberdade" quase lincharam uma intelectual americana, Ann Coulter, e impediram que ela falasse numa universidade. Não ouvi nenhum dos intelectuais de plantão defendê-la. Era de esperar que muitas mulheres do mundo das letras não o fizessem, uma vez que ela é loira e gostosa, pecados imperdoáveis para intelectuais feias e azedas. A causa da fúria da "comunidade intelectual" da universidade no Canadá era porque essa loira conservadora é conhecida por não rezar na cartilha dos opressores "do bem". O Canadá é um dos países mais totalitários no que se refere à repressão ao uso livre da linguagem e à crítica aos costumes da nova casta fascista que empesteia o mundo.
Lá, de repente, você pode ser preso porque usou uma palavra que esta casta julga inapropriada. Toda vez que estamos diante do controle oficial da língua, estamos diante de um regime opressor.
Mas fiquemos em nossa cozinha e deixemos os canadenses afogados em seu fascismo do de Outro dia vi na mão de uma colega uma foto do "novo Saci". Tiraram o cachimbo da boca do Saci. Eu, que sou um amante de cachimbos e charutos cubanos (e viva la Revolución!!), me senti diretamente afetado. Meu irmão de fé, o Saci, está sendo reprimido. A ideia é que, com cachimbo, ele é um mau exemplo para as crianças. Imagino que esses caras acham que bom exemplo é mulher vestida de homem coçando o saco.
Outro caso recente é a perseguição a velhas cantigas de roda e histórias infantis. Por exemplo, o "atirei o pau no gato" deve virar "não atire o pau no gato" para que as crianças não cresçam espancando gatos por aí. O fascismo "verde" chega ao ponto de tirar das crianças uma música divertida para torná-las defensoras dos gatos.
Lembro-me de meninas na minha infância que cantavam essas músicas e ainda assim choravam quando os meninos ensaiavam torturar pequenos animais só para vê-las chorar e assim chegar perto delas. Como era bom jogar baratas mortas no lanche das meninas só para ver elas pularem deliciosamente das suas cadeiras em lágrimas.
O Lobo Mau não pode mais ser mau e comer a vovozinha da Chapeuzinho Vermelho. Muito menos o Caçador pode salvá-la, porque estaria estimulando às meninas sonharem com príncipes encantados. O novo fascismo quer que os lobos sejam bonzinhos (pobres lobos) e que as meninas não sonhem com caçadores que as protejam (coitadas). Sim, 1984 é agora.
PONDÉ, Luiz Felipe. De 1984 a 2010. In: Folha de S. Paulo. 5 abr. 2010.
No livro 1984, George Orwell mostra como uma sociedade oligárquica coletivista é capaz de reprimir qualquer um que se opuser a ela. Tal sociedade controla não só a economia, mas a mente e o coração das pessoas. A frase conclusiva “Sim, 1984 é agora" pode ser assim explicada:
Provas
Questão presente nas seguintes provas
Pais (2002) apresenta em seu livro elaborações a respeito
da Didática da Matemática. Na discussão sobre momentos
pedagógicos e as situações didáticas em sala de aula, o
autor apresenta diferentes tipos de situações didáticas. Na
tipologia de situações desenvolvida por Brosseau, apresentada
por Pais (2002, p. 72-73), a situação em que “o
aluno já utiliza mecanismos de provas e o saber já elaborado
por ele passa a ser usado com uma finalidade de natureza
essencialmente teórica” é classificada como uma situação
de
Provas
Questão presente nas seguintes provas
- FundamentosRazão e Proporção
- GeometriaGeometria PlanaTriângulos
- Sequências e ProgressõesPG: Progressão Geométrica
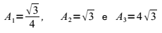
Analise a figura a seguir

Os três primeiros triângulos, que formam uma sequência de triângulos equiláteros, têm as seguintes áreas:
, portanto a razão entre as áreas dos triângulos A6 e A1 é:
Provas
Questão presente nas seguintes provas
Cadernos
Caderno Container