Foram encontradas 50 questões.
Texto para as questões 49 e 50
O aquecimento global, conseqüência do efeito estufa, tem provocado graves mudanças climáticas e, portanto, deve ser controlado. Estudos recentes demonstram que a temperatura do planeta subiu 0,18 ºC no século XX. Se for mantida essa tendência, nos próximos 50 anos, haverá um aquecimento de 4 ºC a 5 ºC, que pode provocar o degelo de parte das calotas polares e, conseqüentemente, a produção de grandes blocos de gelo (icebergs) passíveis de deslocamento em águas marítimas. Outra conseqüência dessas alterações climáticas é a elevação do nível dos mares e a inundação de cidades litorâneas. Durante o século XX, houve uma elevação de 30 centímetros do nível do mar e esse processo tem-se acelerado graças à atuação do homem.
Com relação ao assunto tratado no texto e considerando-se que as densidades da água e do gelo são, respectivamente, iguais a 1.000 kg/m3 e 920 kg/m3, é correto afirmar que a fração do volume de um iceberg que ficará fora da superfície da água, no caso de o sistema água-iceberg estar em equilíbrio, é igual a
Provas
Texto para as questões 49 e 50
O aquecimento global, conseqüência do efeito estufa, tem provocado graves mudanças climáticas e, portanto, deve ser controlado. Estudos recentes demonstram que a temperatura do planeta subiu 0,18 ºC no século XX. Se for mantida essa tendência, nos próximos 50 anos, haverá um aquecimento de 4 ºC a 5 ºC, que pode provocar o degelo de parte das calotas polares e, conseqüentemente, a produção de grandes blocos de gelo (icebergs) passíveis de deslocamento em águas marítimas. Outra conseqüência dessas alterações climáticas é a elevação do nível dos mares e a inundação de cidades litorâneas. Durante o século XX, houve uma elevação de 30 centímetros do nível do mar e esse processo tem-se acelerado graças à atuação do homem.
Tomando-se o texto como referência inicial e assumindo-se que as temperaturas de solidificação e de evaporação da água nas três escalas são, respectivamente, 0 ºC, 32 ºF e 273 K; 100 ºC, 212 ºF e 373 K, conclui-se que as variações de temperatura, nas escalas Fahrenheit e Kelvin, equivalentes a uma variação de 5 ºC, são, respectivamente, iguais a
Provas

Todo ser vivo interage com o meio ambiente em que vive. Essa interação é um processo dinâmico que produz mudanças e adaptação das espécies a seu meio, garantindo, assim, a sobrevivência. O campo geomagnético faz parte do meio ambiente e está presente na Terra desde antes do surgimento da vida, embora sua existência só tenha sido conhecida há quatro séculos. Em 1975, pela primeira vez, foram observadas pequenas partículas de um material magnético — que tinha a magnetita, um óxido de ferro biomineralizado e fortemente magnético, como um de seus constituintes principais — formando uma cadeia linear dentro do citoplasma de bactérias flageladas. No caso dessas bactérias, o pólo sul magnético (S) localiza-se próximo ao flagelo e o norte (N), no lado oposto, como ilustram as figuras acima. Essas bactérias flageladas, denominadas bactérias magnéticas, vivem em função da interação do seu campo magnético com o campo magnético terrestre. As figuras acima ilustram diferentes formas de organização das bactérias magnéticas em uma pequena colônia. Considerando-se apenas as interações magnéticas, é correto afirmar que a conformação de mais baixa energia, ou a mais favorável energeticamente, corresponde à figura de número
Provas

A refração foi bastante estudada por Snell, que estabeleceu que a velocidade da luz diminui quando esta passa de um meio menos refringente para outro mais refringente. O princípio de funcionamento de vários instrumentos ópticos, como microscópicos, lentes e, inclusive, o olho humano, deve-se à refração da luz ao passar por meios refringentes diferentes. Os defeitos mais comuns da visão humana, tais como a miopia e a hipermetropia, são devidos a defeitos no sistema de refração do cristalino, que faz parte do olho. Esses defeitos podem ser corrigidos com lentes convergentes ou divergentes. A figura acima mostra a convergência do raio de luz em um olho míope. Sabendo-se que a visão normal é conseguida quando o foco dos raios de luz ocorre na retina, então é correto concluir que, para uma pessoa portadora de miopia corrigir seu problema de visão, ela deve utilizar lentes
Provas

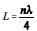
O esquema acima representa o funcionamento do ouvido humano, em que os sons externos produzem uma variação de pressão no ar, no interior do canal auditivo, fazendo a membrana (tímpano) vibrar. Esse sistema, que funciona de forma equivalente à propagação de ondas sonoras em tubos, possui uma das extremidades fechadas por uma membrana (tímpano). Desse modo, o ser humano pode ouvir apenas as freqüências sonoras cujos comprimentos de ondas λ satisfaçam a relação
, em que L é o comprimento do canal auditivo e n é um número ímpar positivo. De acordo com esse modelo e assumindo-se que a velocidade do som é igual a 344 m/s e que L = 3,0 cm, conclui-se que a freqüência do primeiro harmônico, após o fundamental, que pode ser ouvido por um ser humano é igual a
Provas
Com relação à combustão que ocorre durante o processo de queima de uma vela (mistura de hidrocarbonetos), assinale a opção correta.
Provas
Texto para as questões 43 e 44
Considere os seguintes estágios de purificação da água para torná-la potável.
I A água natural é submetida a um processo de aeração por borbulhamento de ar. Nessa etapa, ocorre a remoção de gases de odores fortes dissolvidos ao mesmo tempo em que se dissolve oxigênio e nitrogênio.
II Em um tanque, adiciona-se CaO para reduzir a acidez da água e precipitar íons metálicos presentes em solução como hidróxidos. O precipitado, na forma de um pó muito fino, pode ficar suspenso na água.
III A seguir, adiciona-se alume — Al2(SO4)3 . 18 H2O — para coagular e flocular o precipitado, de modo que ele possa ser filtrado. A coagulação envolve a aproximação de íons de modo a formar partículas maiores. A floculação envolve a união de partículas para formar colóides.
IV Sendo anfótero, o alumínio forma íons Al(OH)4+ solúveis em solução básica. Esses íons devem ser eliminados. CO2 é borbulhado para aumentar a acidez e provocar a precipitação do alumínio como Al(OH)3, que é retirado por filtração.
V O pH da água é corrigido.
VI Adiciona-se um desinfetante; normalmente o cloro. O cloro — Cl2 (g) — reage com a água formando o ácido hipocloroso, que é altamente tóxico para bactérias.
Ainda com relação ao texto, assinale a opção correta.
Provas
Texto para as questões 43 e 44
Considere os seguintes estágios de purificação da água para torná-la potável.
I A água natural é submetida a um processo de aeração por borbulhamento de ar. Nessa etapa, ocorre a remoção de gases de odores fortes dissolvidos ao mesmo tempo em que se dissolve oxigênio e nitrogênio.
II Em um tanque, adiciona-se CaO para reduzir a acidez da água e precipitar íons metálicos presentes em solução como hidróxidos. O precipitado, na forma de um pó muito fino, pode ficar suspenso na água.
III A seguir, adiciona-se alume — Al2(SO4)3 . 18 H2O — para coagular e flocular o precipitado, de modo que ele possa ser filtrado. A coagulação envolve a aproximação de íons de modo a formar partículas maiores. A floculação envolve a união de partículas para formar colóides.
IV Sendo anfótero, o alumínio forma íons Al(OH)4+ solúveis em solução básica. Esses íons devem ser eliminados. CO2 é borbulhado para aumentar a acidez e provocar a precipitação do alumínio como Al(OH)3, que é retirado por filtração.
V O pH da água é corrigido.
VI Adiciona-se um desinfetante; normalmente o cloro. O cloro — Cl2 (g) — reage com a água formando o ácido hipocloroso, que é altamente tóxico para bactérias.
Provas
Considere que uma proveta contenha 18 mL de água cuja densidade é igual a 1 g/mL. Nessa situação, assinale a opção incorreta, considerando que M(H) = 1 g/mol e M(O) = 16 g/mol.
Provas
Com relação à água, julgue os itens seguintes.
I A substância água apresenta densidade inferior a 5,0 g/mL e ponto de fusão, ao nível do mar, inferior a 1 ºC.
II A molécula de água apresenta as mesmas propriedades que a substância água. Por exemplo, uma molécula isolada de água entra em ebulição a 100 ºC.
III A molécula de água tem geometria angular e é polar.
IV A água nos estados sólido, líquido e gasoso pode ser corretamente representada, respectivamente, por H2O (s), H2O(l) e H2O (g).
A quantidade de itens certos é igual a
Provas
Caderno Container