Foram encontradas 50 questões.
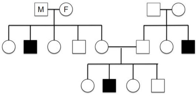
Considere o heredograma a seguir para responder às questões de nos 49 e 50.

Desconsiderando a doença genética, suponha que os indivíduos escuros no heredograma possuam sangue do tipo AB e os demais, claros, outros tipos que não AB. Avalie os seguintes tipos sanguíneos para os indivíduos M e F:
I - A e B
II - AB e AB
III - O e AB
IV - A e AB
V - B e AB
Para que isso seja possível do ponto de vista genético, os indivíduos M e F podem ser, APENAS,
Provas
Considere o heredograma a seguir para responder às questões de nos 49 e 50.

Os símbolos escuros compreendem indivíduos afetados por uma doença genética. A doença cuja hereditariedade explica o heredograma acima é denominada
Provas
Em 2001, foi publicado o primeiro “rascunho” do sequenciamento do genoma humano. Apesar de incompleto, o impacto da revelação das informações sobre nossos genes foi muito grande, como pode ser notado por este comentário do cientista David Baltimore:
“O que mais me interessa sobre o genoma? O número de genes está no topo da lista. O Projeto Genoma público estima que há 31 mil genes que codificam proteínas [...]. O número de genes que codificam proteínas nos humanos pode ser comparado aos 6 mil da levedura, 13 mil da mosca, 18 mil de um verme nematódeo e 26 mil de uma planta.[...] Fica claro que nós não ganhamos a nossa inegável maior complexidade que vermes e plantas por possuirmos mais genes. Entender o que nos dá complexidade – nosso imenso repertório comportamental, habilidade de produzir ações conscientes, incrível coordenação física (que compartilhamos com outros vertebrados), alterações precisamente ajustadas em resposta às variações externas no ambiente, aprendizado, memória... preciso continuar? – Permanece um desafio para o futuro.”
Nature, 2001 (Adaptado)
Alguns elementos celulares contribuem para multiplicar as ações de genes de modo a aumentar a diversidade fenotípica das células, mesmo com um número restrito de proteínas. Isso poderia explicar, pelo menos em parte, a questão colocada acima. Um elemento desse tipo é denominado
Provas
Analise a figura abaixo.

ALBERTS e colaboradores. The Cell. 2005. (Adaptado)
A organela subcelular que apresenta um sistema de túbulos achatados e envolvida na síntese de proteínas está representada em
Provas
No ano de 2009 comemoramos 100 anos da descoberta da Doença de Chagas e de seu agente etiológico. Entretanto, apesar de tanto tempo ter passado, essa doença ainda causa muitas mortes em nosso País.
O agente etiológico e principal forma de combate à Doença de Chagas, respectivamente, são:
Provas
O mapa abaixo ilustra a incidência da Doença de Chagas por estado, de 1981 a 1998 (taxas médias de mortalidade por ano a cada milhão de habitantes).

Com base no mapa, analise as afirmativas a seguir.
I - Há maior incidência da doença em locais com maior índice pluviométrico.
II - A ampla distribuição da doença é justificada, pelo menos em parte, pela grande variedade de animais “reservatório” da doença.
III - O cerrado é o bioma onde está circunscrita a manifestação endêmica dessa doença.
É(São) correta(s) APENAS a(s) afirmativa(s)
Provas
O sistema urinário está relacionado à remoção de substâncias tóxicas dos organismos, como é o caso dos produtos nitrogenados do metabolismo de proteínas e ácidos nucleicos. Entretanto, a excreção dos produtos nitrogenados, como a amônia, a ureia e o ácido úrico, está relacionada ao ambiente em que o animal vive. Dentre os animais que eliminam principalmente a ureia, quais são considerados ureotélicos?
Provas
“Quando avaliamos o ensino de ciências (Biologia, Química, Física e Matemática), é notável que o perfil de trabalho de sala de aula nessas disciplinas está rigorosamente marcado pelo conteudismo, excessiva exigência de memorização de algoritmos e terminologias e por descontextualização. […] A ciência que é ensinada nas escolas sustenta uma imagem idealizada e distante da realidade do trabalho dos cientistas, omitindo antagonismos, conflitos e lutas que são travadas por grupos responsáveis pelo progresso científico. A consequência disso é a construção de uma visão ingênua de uma ciência altruísta, desinteressada e produzida por indivíduos igualmente portadores destas qualidades.”
Ciência & Educação, v. 9, no 2, p. 177-190, 2003. (Adaptado)
Os Parâmetros Curriculares Nacionais do Ensino Médio na área de Biologia, assim como de outras ciências, procuram sanar parte dos problemas levantados pelo texto acima ao recomendar a(o)
Provas
Os anexos embrionários são estruturas que derivam dos folhetos germinativos do embrião, mas que não fazem parte do corpo desse embrião. O exemplo de anexo embrionário INCORRETO é o(a)
Provas
Utilize o esquema abaixo para responder às questões de nos 40 e 41.

O fenômeno que ocorreu e permitiu o aparecimento de diferentes indivíduos, como exemplificado entre X e Y, é conhecido como
Provas
Caderno Container