Foram encontradas 50 questões.
- Mecânica ClássicaDinâmicaTrabalho, Energia e Potência
- Mecânica ClássicaGravitação UniversalForça Gravitacional e Satélites
- Mecânica ClássicaGravitação UniversalLeis de Kepler

A figura acima representa uma situação em que um pequeno asteroide é capturado pelo campo gravitacional do Sol e passa a orbitá-lo circularmente.
Provas
Questão presente nas seguintes provas

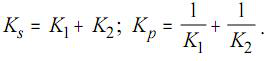
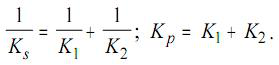
Na figura acima, estão representados dois esquemas de associação de molas: o primeiro é uma associação em série e o segundo, uma associação em paralelo. K1 e K2 são as constantes elásticas das duas molas associadas. Considerando que e Ks e Kp sejam as constantes elásticas equivalentes da associação em série e da associação em paralelo, respectivamente, então elas satisfazem às seguintes condições:
Provas
Questão presente nas seguintes provas

O esquema acima representa dois corpos de massa m e M ligados por um fio ideal que passa por uma polia de massa desprezível. Essa configuração de massas e polias é denominada máquina de Atwood. Considere que M = 2m, que o fio está submetido a uma tensão T e que a aceleração da gravidade, g, é igual a 10,0 m/s 2 .
Nessas condições, o módulo da aceleração dos corpos, em m/s 2 , será aproximadamente igual a
Provas
Questão presente nas seguintes provas

A figura acima representa um mecanismo hidráulico ideal e isolado.
Uma força constante
Provas
Questão presente nas seguintes provas

Considere que um gás ideal tenha sido levado de um estado inicial i até um estado final f por meio de três processos diferentes, conforme ilustrados na figura acima. A temperatura no estado i é T e, no estado f, é igual a T + Δ T. Considere, ainda, que, para os processos 1, 2 e 3, a variação da energia interna associada a cada um deles seja, respectivamente, igual a ΔE1, ΔE2 e ΔE3.
Nessas condições,
Provas
Questão presente nas seguintes provas
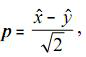
Considere que
sejam equações de duas vibrações harmônicas simples perpendiculares, e que a superposição dessas vibrações seja representada pela seguinte expressão.

Suponha que essa relação matemática descreva os estados de polarização de uma radiação luminosa, com intensidade
que se propaga na direção z e que pode interagir com outros elementos óticos. Com base nessas informações, assinale a opção correta.

Suponha que essa relação matemática descreva os estados de polarização de uma radiação luminosa, com intensidade
Provas
Questão presente nas seguintes provas
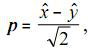
Texto e figura para as questões 3 e 4

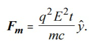
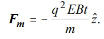
A figura acima representa a componente elétrica E (com
direção
) de uma onda eletromagnética se propagando na direção
de
, sentido positivo, com velocidade c. A onda que encontra em
sua trajetória uma carga elétrica livre de valor +q e massa m,
inicialmente localizada sobre o eixo x. Os vetores unitários
, 
e referem-se, respectivamente, aos eixos x, y e z do sistema de
coordenadas cartesianas.
Considerando que, na situação descrita no texto, no instante t, a carga q ainda se encontra na presença dos campos elétrico e magnético e que t = 0 é o instante em que a onda atinge a carga, a força magnética Fm que atua nessa carga é dada por
A figura acima representa a componente elétrica E (com
direção
de
sua trajetória uma carga elétrica livre de valor +q e massa m,
inicialmente localizada sobre o eixo x. Os vetores unitários
e referem-se, respectivamente, aos eixos x, y e z do sistema de
coordenadas cartesianas.
Provas
Questão presente nas seguintes provas
- Fundamentos
- EletromagnetismoMagnetismoCampo e Força Magnética
- OndulatóriaOndas e Propriedades Ondulatórias
- Mecânica ClássicaCinemáticaCinemática VetorialVetores
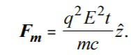
Texto e figura para as questões 3 e 4

A figura acima representa a componente elétrica E (com
direção
) de uma onda eletromagnética se propagando na direção
de
, sentido positivo, com velocidade c. A onda que encontra em
sua trajetória uma carga elétrica livre de valor +q e massa m,
inicialmente localizada sobre o eixo x. Os vetores unitários
, 
e referem-se, respectivamente, aos eixos x, y e z do sistema de
coordenadas cartesianas.
Na situação descrita, a direção do vetor de Poynting H e a da componente magnética B da onda eletromagnética são dadas, respectivamente, por
A figura acima representa a componente elétrica E (com
direção
de
sua trajetória uma carga elétrica livre de valor +q e massa m,
inicialmente localizada sobre o eixo x. Os vetores unitários
e referem-se, respectivamente, aos eixos x, y e z do sistema de
coordenadas cartesianas.
Provas
Questão presente nas seguintes provas
Texto e figura para as questões 1 e 2

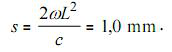
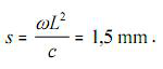
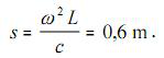
A figura acima esquematiza o experimento de Foucault
para a medida da velocidade da luz. O experimento é constituído de
um espelho rotatório que gira com velocidade angular ? igual a
6 × 103 rad/s, no qual incide um feixe de luz proveniente de A, que
é desviado para um espelho esférico E localizado a uma distância
L igual a 5 m. O feixe refletido pelo espelho E incide sobre o
espelho rotatório em outra posição e é refletido novamente
atingindo o ponto B, a uma distância s (considerando uma reta) do
ponto A.
No experimento esquematizado, e assumindo c = 3 × 108 m/s (velocidade da luz), o deslocamento s percorrido pelo feixe luminoso satisfaz à condição
A figura acima esquematiza o experimento de Foucault
para a medida da velocidade da luz. O experimento é constituído de
um espelho rotatório que gira com velocidade angular ? igual a
6 × 103 rad/s, no qual incide um feixe de luz proveniente de A, que
é desviado para um espelho esférico E localizado a uma distância
L igual a 5 m. O feixe refletido pelo espelho E incide sobre o
espelho rotatório em outra posição e é refletido novamente
atingindo o ponto B, a uma distância s (considerando uma reta) do
ponto A.
Provas
Questão presente nas seguintes provas
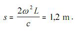
Texto e figura para as questões 1 e 2

A figura acima esquematiza o experimento de Foucault
para a medida da velocidade da luz. O experimento é constituído de
um espelho rotatório que gira com velocidade angular ? igual a
6 × 103 rad/s, no qual incide um feixe de luz proveniente de A, que
é desviado para um espelho esférico E localizado a uma distância
L igual a 5 m. O feixe refletido pelo espelho E incide sobre o
espelho rotatório em outra posição e é refletido novamente
atingindo o ponto B, a uma distância s (considerando uma reta) do
ponto A.
Na situação descrita, o ângulo ß é igual a
A figura acima esquematiza o experimento de Foucault
para a medida da velocidade da luz. O experimento é constituído de
um espelho rotatório que gira com velocidade angular ? igual a
6 × 103 rad/s, no qual incide um feixe de luz proveniente de A, que
é desviado para um espelho esférico E localizado a uma distância
L igual a 5 m. O feixe refletido pelo espelho E incide sobre o
espelho rotatório em outra posição e é refletido novamente
atingindo o ponto B, a uma distância s (considerando uma reta) do
ponto A.
Provas
Questão presente nas seguintes provas
Cadernos
Caderno Container