Magna Concursos

Foram encontradas 120 questões.

2344829 Ano: 2022
Disciplina: Física
Banca: QUADRIX
Orgão: SEE-DF
Provas:
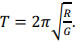
Um túnel reto é escavado através da Terra, como mostrado na figura a seguir. Inexistem forças dissipativas. A força gravitacional exercida pela Terra sobre uma partícula de massa que dista r do centro da Terra, quando r < R, é Fg = -(GmM/R3) r, em que M é a massa da Terra e R é o raio da Terra.
Enunciado 3465592-1
G. Mosca e P. Tipler. Física para Cientistas e Engenheiros.
v. 1, 6.ª ed. (com adaptações).
Com base nessa situação hipotética, julgue o item.

O período do movimento é independente do comprimento do túnel e é dado por Enunciado 3465592-2
 

Provas

Questão presente nas seguintes provas
2344828 Ano: 2022
Disciplina: Física
Banca: QUADRIX
Orgão: SEE-DF
Provas:
Um túnel reto é escavado através da Terra, como mostrado na figura a seguir. Inexistem forças dissipativas. A força gravitacional exercida pela Terra sobre uma partícula de massa que dista r do centro da Terra, quando r < R, é Fg = -(GmM/R3) r, em que M é a massa da Terra e R é o raio da Terra.
Enunciado 3465591-1
G. Mosca e P. Tipler. Física para Cientistas e Engenheiros.
v. 1, 6.ª ed. (com adaptações).
Com base nessa situação hipotética, julgue o item.

A partícula oscila em torno do centro do túnel em MHS.
 

Provas

Questão presente nas seguintes provas
2344827 Ano: 2022
Disciplina: Física
Banca: QUADRIX
Orgão: SEE-DF
Provas:
Um túnel reto é escavado através da Terra, como mostrado na figura a seguir. Inexistem forças dissipativas. A força gravitacional exercida pela Terra sobre uma partícula de massa que dista r do centro da Terra, quando r < R, é Fg = -(GmM/R3) r, em que M é a massa da Terra e R é o raio da Terra.
Enunciado 3465590-1
G. Mosca e P. Tipler. Física para Cientistas e Engenheiros.
v. 1, 6.ª ed. (com adaptações).
Com base nessa situação hipotética, julgue o item.

A força resultante sobre a partícula de massa m que dista x do centro do túnel é dada por Fx = -(GmM/R3) x. .
 

Provas

Questão presente nas seguintes provas
2344826 Ano: 2022
Disciplina: Física
Banca: QUADRIX
Orgão: SEE-DF
Provas:
Em um laboratório terrestre, um gás ideal está confinado em um recipiente cilíndrico que contém um êmbolo móvel a uma temperatura de 27 °C e ocupa, inicialmente, um volume de 400 L. Sobre o êmbolo repousa um corpo de massa M, de tal sorte que a pressão do gás é 1,2 . 105 Pa. O gás recebe uma quantidade de calor igual a 6 . 104 J e expande, passando a ocupar um volume de 600 L.
Com base nessa situação hipotética, adotando R = 8 J/mol.K, massa molar do gás igual a 4 g/mol e 1 cal = 4 J, julgue o item.

O calor específico do gás sob pressão constante é igual a 1,25 cal/g.K.
 

Provas

Questão presente nas seguintes provas
2344825 Ano: 2022
Disciplina: Física
Banca: QUADRIX
Orgão: SEE-DF
Provas:
Em um laboratório terrestre, um gás ideal está confinado em um recipiente cilíndrico que contém um êmbolo móvel a uma temperatura de 27 °C e ocupa, inicialmente, um volume de 400 L. Sobre o êmbolo repousa um corpo de massa M, de tal sorte que a pressão do gás é 1,2 . 105 Pa. O gás recebe uma quantidade de calor igual a 6 . 104 J e expande, passando a ocupar um volume de 600 L.
Com base nessa situação hipotética, adotando R = 8 J/mol.K, massa molar do gás igual a 4 g/mol e 1 cal = 4 J, julgue o item.

O número de mols de moléculas do gás é igual a 20.
 

Provas

Questão presente nas seguintes provas
2344824 Ano: 2022
Disciplina: Física
Banca: QUADRIX
Orgão: SEE-DF
Provas:
Em um laboratório terrestre, um gás ideal está confinado em um recipiente cilíndrico que contém um êmbolo móvel a uma temperatura de 27 °C e ocupa, inicialmente, um volume de 400 L. Sobre o êmbolo repousa um corpo de massa M, de tal sorte que a pressão do gás é 1,2 . 105 Pa. O gás recebe uma quantidade de calor igual a 6 . 104 J e expande, passando a ocupar um volume de 600 L.
Com base nessa situação hipotética, adotando R = 8 J/mol.K, massa molar do gás igual a 4 g/mol e 1 cal = 4 J, julgue o item.

A variação da energia interna é igual a 3,6 . 104 J.
 

Provas

Questão presente nas seguintes provas
2344823 Ano: 2022
Disciplina: Física
Banca: QUADRIX
Orgão: SEE-DF
Provas:
Em um laboratório terrestre, um gás ideal está confinado em um recipiente cilíndrico que contém um êmbolo móvel a uma temperatura de 27 °C e ocupa, inicialmente, um volume de 400 L. Sobre o êmbolo repousa um corpo de massa M, de tal sorte que a pressão do gás é 1,2 . 105 Pa. O gás recebe uma quantidade de calor igual a 6 . 104 J e expande, passando a ocupar um volume de 600 L.
Com base nessa situação hipotética, adotando R = 8 J/mol.K, massa molar do gás igual a 4 g/mol e 1 cal = 4 J, julgue o item.

O trabalho realizado pelo gás na transformação é igual a 2,4 . 104 J.
 

Provas

Questão presente nas seguintes provas
2344822 Ano: 2022
Disciplina: Física
Banca: QUADRIX
Orgão: SEE-DF
Provas:
Em uma região onde existe um campo elétrico gerado por cargas elétricas em repouso, uma carga q = 40 . 10–9 C é transportada de um ponto A até um ponto B. No movimento da carga, o trabalho da força elétrica foi de 20 J.
Considerando essa situação hipotética, adotando o ponto B como ponto de referência para o cálculo da energia potencial, julgue o item.

Caso o campo elétrico não seja uniforme, o trabalho realizado pela força elétrica para transportar a carga elétrica q do ponto A ao ponto B dependerá do caminho percorrido.
 

Provas

Questão presente nas seguintes provas
2344821 Ano: 2022
Disciplina: Física
Banca: QUADRIX
Orgão: SEE-DF
Provas:
Em uma região onde existe um campo elétrico gerado por cargas elétricas em repouso, uma carga q = 40 . 10–9 C é transportada de um ponto A até um ponto B. No movimento da carga, o trabalho da força elétrica foi de 20 J.
Considerando essa situação hipotética, adotando o ponto B como ponto de referência para o cálculo da energia potencial, julgue o item.

O potencial elétrico no ponto A é igual 5 . 108 V.
 

Provas

Questão presente nas seguintes provas
2344820 Ano: 2022
Disciplina: Física
Banca: QUADRIX
Orgão: SEE-DF
Provas:
Em uma região onde existe um campo elétrico gerado por cargas elétricas em repouso, uma carga q = 40 . 10–9 C é transportada de um ponto A até um ponto B. No movimento da carga, o trabalho da força elétrica foi de 20 J.
Considerando essa situação hipotética, adotando o ponto B como ponto de referência para o cálculo da energia potencial, julgue o item.

A energia potencial associada à carga q quando se encontra no ponto A é igual a zero.
 

Provas

Questão presente nas seguintes provas