Foram encontradas 450 questões.
Texto
Direito à fantasia
Frei Betto 05/08/2017 - 06h00
A fantasia é a matéria-prima da realidade. Tudo que é real, do computador ao jornal no qual você lê este texto, nasceu da fantasia de quem criou o artigo, concebeu o computador e editou a publicação.
A cadeira na qual me sento teve seu desenho concebido previamente na mente de quem a criou. Daí a força da ficção. Ela molda a realidade.
A infância é, por excelência, a idade da fantasia. A puberdade, o choque de realidade. Privar uma criança de sonhos é forçá-la a, precocemente, antecipar seu ingresso na idade adulta. E esse débito exige compensação. O risco é ele ser pago com as drogas, a via química ao universo onírico.
As novas tecnologias tendem a coibir a fantasia em crianças que preferem a companhia do celular à dos amigos. O celular isola; a amizade entrosa. O celular estabelece uma relação monológica com o real; a amizade, dialógica. O risco é a tecnologia, tão rica em atrativos, "roubar" da criança o direito de sonhar.
Agora, sonham por ela o filme, o desenho animado, os joguinhos, as imagens. A criança se torna mera espectadora da fantasia que lhe é oferecida nas redes sociais, sem que ela crie ou interaja.
Na infância, eu escutava histórias contadas por meus pais, de dona Baratinha à Branca de Neve e os sete anões. Eu interferia nos enredos, com liberdade para recriá-los. Isso fez de mim, por toda a vida, um contador de histórias, reais e fictícias.
Hoje, a indústria do entretenimento sonha pelas crianças. Não para diverti-las ou ativar nelas o potencial onírico, e sim para transformá-las em consumistas precoces. Porque toda a programação está ancorada na publicidade voltada ao segmento mais vulnerável do público consumidor.
Embora a criança não disponha de dinheiro, ela tem o poder de seduzir os adultos que compram para agradá-la ou se livrar de tanta insistência. E ela não tem idade para discernir ou valorar os produtos, nem distinguir entre o necessário e o supérfluo.
Fui criança logo após a Segunda Grande Guerra. O cinema e as revistas em quadrinhos, em geral originados nos EUA, exaltavam os feitos bélicos, do faroeste aos combates aéreos. No quintal de casa eu e meus amigos brincávamos de bandido e mocinho. Nossos cavalos eram cabos de vassoura.
Um dia, o Celsinho ganhou do pai um cavalinho de madeira apoiado em uma tábua com quatro rodinhas. Ficamos todos fascinados diante daquela maravilha adquirida em uma loja de brinquedos.
Durou pouco. Dois ou três dias depois voltamos aos nossos cabos de vassoura. Por quê? A resposta agora me parece óbvia: o cabo de vassoura "dialogava" com a nossa imaginação. Assim como o trapo que o bebê não larga nem na hora de dormir.
O direito à fantasia deveria constar da Declaração Universal dos Direitos Humanos.
Disponível em: http://hojeemdia.com.br/opini%C3%A3o/colunas/frei-betto-1.334186/direito-%C3%A0-fantasia-1.550900. Adaptado. Acesso em: 18 jan. 2018.
Sobre o uso de pronomes (em suas variadas possibilidades de classificação e emprego), seguem-se três excertos do texto e considerações sobre o tópico. Avalie cada assertiva atentamente e anteponha-lhe V (verdadeiro) ou F (falso):
Excerto 1:
A cadeira na qual me sento teve seu desenho concebido previamente na mente de quem a criou. Daí a força da ficção. Ela molda a realidade.
( ) A retomada pelo relativo “na qual” está adequada, visto que o verbo “sentar” exige “em” e o gênero do antecedente é feminino e singular.
( ) A referência do pronome possessivo de 3ª pessoa, potencialmente provocador de ambiguidade, só é percebida no contexto: equivale a “da cadeira”.
Excerto 2:
Eu interferia nos enredos, com liberdade para recriá-los. Isso fez de mim, por toda a vida, um contador de histórias, reais e fictícias.
( ) O pronome oblíquo “-los” retoma o termo “nos enredos” de forma apropriada.
( ) O pronome demonstrativo “isso”, dêitico com função de sujeito, retoma o constituinte “liberdade”.
Excerto 3:
A criança se torna mera espectadora da fantasia que lhe é oferecida nas redes sociais, sem que ela crie ou interaja.
( ) O pronome relativo “que” substitui o antecedente “a fantasia”; poderia ser substituído por “a qual”.
( ) O pronome oblíquo “lhe” substitui o complemento preposicionado “à espectadora”.
O(s) excerto(s) sobre o(s) qual(-ais) ambas as assertivas estão corretas é (são) apenas:
Provas
Questão presente nas seguintes provas
TEXTO:
Nossa Senhora dos Destoantes
Luís Fernando Veríssimo
A pequena Capela de Nossa Senhora do Rosário do Padre Faria é uma das tantas joias arquitetônicas de Ouro Preto. O exterior despojado não prepara o visitante para a opulência barroca do interior. O campanário fica afastado do corpo da igreja, como a “casinha” numa morada sem banheiro, e nada tem de imponente. Os sinos da Capela de Padre Faria badalam em concerto com os outros sinos da região, cantando as horas e os eventos, e não soam nem melhor nem pior do que os outros. Mas os sinos da Capela do Padre Faria têm uma história diferente dos outros.
Quando Tiradentes foi enforcado e esquartejado no Rio de Janeiro todos os outros sinos celebraram a notícia. Afinal, tratava-se da execução de um traidor, de um inimigo da sociedade. Os sinos de Ouro Preto festejaram o castigo exemplar de um réprobo e o triunfo da legalidade sobre a rebeldia. Mesmo que o toque festivo não tivesse sido recomendado pela Coroa, a celebração se justificaria. Mas os sinos da Capela do Padre Faria dobraram Finados. Pela primeira e única vez na história, talvez, os sinos da Capela do Padre Faria destoaram do concerto. Tocaram, sozinhos, uma batida fúnebre pelo martírio de Tiradentes.
Não conheço bem a história e não sei o que motivou as badaladas subversivas. Um pedido de secretos simpatizantes da Inconfidência? Apenas uma manifestação de piedade cristã? Um sineiro bêbado? Não sei. Minha tese preferida é que alguém responsável pelos sinos teve um vislumbre histórico. Teve a presciência que ninguém mais teve e ordenou o toque plangente, em homenagem precoce ao futuro herói e pelo ocaso do poder colonial que seu sacrifício desencadearia.
Nossa Senhora do Rosário serviria como padroeira, não necessariamente de quem consegue adivinhar a História, mas de quem entende o momento que está vivendo ou destoa da maioria, com ou sem razão. Destoantes deveriam ir regularmente em romaria à pequena capela e pedir a bênção dessa Nossa Senhora do Contexto Maior, para melhor poder enfrentar a maioria que badala o que não tem importância e o fato errado e menospreza qualquer batida diferente.
Os outros sineiros de Ouro Preto não tinham como saber que estavam festejando a morte de um herói. Faltava-lhes a perspectiva histórica para entender o momento e só cumpriram o que se esperava deles. Estão perdoados. Mas que nos sirvam de lição.
(Disponível em https://jornalggn.com.br/noticia/nossa-senhora-dos-destoantes-por-luis-fernando-verissimo. Acesso em: 9 fev. 2018)
“O contexto maior não absolve, exatamente, o contexto imediato, a triste realidade de revelações e escândalos de todos os dias, mas consola. Nossa inspiração deve ser o historiador francês Fernand Braudel, que — principalmente no seu monumental estudo sobre as civilizações do Mediterrâneo — ensinou que, para se entender a História, é preciso concentrar-se no que ele chamava de lalonguedurée, que é outro nome para o contexto maior. Braudel partia do particular e do individual para o social e daí para o nacional e o generacional, se é que existe a palavra, e na sua história da região, o indivíduo e seu cotidiano eram reduzidos a “poeira” (palavra dele também, que incluía até papas e reis) em contraste com a longuedurée, o longo prazo da história verdadeira. Assim na sua obra se encontram as minúcias da vida diária nos países do Mediterrâneo mas compreendidas sub specieaeternitatis, do ponto de vista da eternidade, que é o contexto maior pedante.”
(Disponível em https://jornalggn.com.br/noticia/o-contexto-maior-por-luis-fernando-verissimo. Acesso em 09 fev. 2018).
O segmento em destaque também foi produzido por Luís Fernando Veríssimo, em sua crônica, de fevereiro de 2015, O contexto maior, título retomado no trecho da crônica Nossa Senhora dos Destoantes, publicada em 09 de fevereiro de 2018 em: “Destoantes deveriam ir regularmente em romaria à pequena capela e pedir a bênção dessa Nossa Senhora do Contexto Maior, para melhor poder enfrentar a maioria que badala o que não tem importância e o fato errado e menospreza qualquer batida diferente”.
Sobre essa referência de O contexto maior em Nossa Senhora dos Destoantes, pode-se afirmar que
Provas
Questão presente nas seguintes provas
Observe o gráfico abaixo, produzido pela organização Red Lat (Rede Latino-Americana de Pesquisas em Empresas Multinacionais) no ano de 2012.

Em relação ao gráfico apresentado, NÃO é correto afirmar:
Provas
Questão presente nas seguintes provas
Atenção! O texto a seguir servirá de referência para a questão
Em Meados de 2013, diante do evento esportivo mundial denominado “Copa das Confederações”, realizado no “País do Futebol”, eclodiram inumeráveis manifestações populares. Pessoas de diversas localidades ocuparam as ruas das cidades. Esses eventos ficaram conhecidos por “Jornadas de Junho”. [...] As Jornadas de Junho no Brasil podem ser vistas como um desdobramento de um sentimento maior, em nível mundial, que teve seus prelúdios em 2011, com a eclosão simultânea e contagiosa de movimentos sociais e manifestações de protestos com reivindicações particulares em várias regiões do planeta, mas com formas de luta muito assemelhadas e consciência de solidariedade mútua. [...] As Jornadas de Junho foram plurais, assim como múltiplos foram os atores em cena. Não foram movimentos hegemônicos. Nem mesmo quando se observam ações ocorridas na mesma cidade e no mesmo momento de concretização. Historicamente, o povo brasileiro foi sistematicamente alvo de tentativa de exclusão da ação na vida republicana, seja pelo uso da força seja por uma cultura política assistencialista e da dádiva. A historicidade das relações de poder no Brasil seriam a expressão exemplar do ressentimento social. Por outro lado, constrói-se um modelo de democracia que não é capaz de construir os espaços da escuta e da fala. Colônia, Império e República, em cada tempo histórico, o Brasil construiu seus ressentidos. Alimentou-os. [...] Mais do que “reivindicar a voz daqueles que são obrigados a sofrer calados”, é necessário construir uma via de emancipação e autonomia política. (Texto adaptado de COTTA, Francis Albert. Vozes das Ruas: Ressentimentos Sociais e Manifestações Populares em Junho de 2013. Belo Horizonte: Edições Superiores, 2017, p. 23-30 e 161-163).
Na explicação das Jornadas de Junho como movimentos plurais, é CORRETO afirmar:
Provas
Questão presente nas seguintes provas
São características do pensamento político de Karl Marx, EXCETO:
Provas
Questão presente nas seguintes provas
Read the following text and answer question.
How do people see disability today?

Some time ago, people’s idea of disability was very distressing, especially towards people with disability and their families. If a child was born with any kind of disability, they would attribute that to many strange taboos, spiritual and traditional beliefs.
Today, disability is seen very differently. Education, information, support services, policy and accessibility efforts by many modern societies have empowered people with disabilities, together with their families, to rise to their fullest potential. Children with disability are able to go to school and feel part of society. Many people with disability have grown to become great, successful people.
Ray Charles and Steve Wonder, both blind from childhood, are some of ____________ musicians in the world. Marlee Matlin, ______ lost her hearing from childhood, is a great Standup Comedian and Actress. Chris Burke, a favorite American TV character, and writer, is a person with Down Syndrome. Nick Vujicic is _______ Australian Christian Evangelist and Motivational Speaker. Born ______ 1982 with a rare disorder, characterized by no hands and legs, has lived to inspire millions and continue to empower people.
Disability is part of life. People with disability have potential too, just like people without a disability. They have the same rights as everyone else and if people with disabilities, families, and society can work together on policy, we can make society all-inclusive and every person will have a fair chance to be the best they can be.
(Adapted from: https://goo.gl/fhJZCM. Access: 01/22/2018)
What is the best way to complete the sentence “both blind from childhood, are some of _______________ musicians in the world.”?
Provas
Questão presente nas seguintes provas
TEXTO
Chegando à fazenda dos avós, para visitá-los, o neto se dirige ao avô, que está na sala:
– Firme, vô?
– Não, fio, Sírvio Santos.
Disponível em: http://portal.mec.gov.br/seb/arquivos/pdf/book_volume_01_internet.pdf. Acesso em: 2 fev. 2018.
Pode-se dizer que a informação trazida pela oração adjetiva explicativa na piada é relevante para que o leitor signifique adequadamente:
Provas
Questão presente nas seguintes provas
Leia o texto a seguir:
“Porque enquanto cada homem detiver seu direito de fazer tudo quanto queira, todos os homens se encontrarão numa condição de guerra.” (HOBBES, T. Leviatã. SP: Nova Cultural, 2004. p. 114. Adaptado)
O pensador inglês Thomas Hobbes acredita que, para evitar a guerra, os homens devem se associar e determinar a autoridade de um poder central (o Estado), capaz de assegurar a paz entre seus membros. Essa autoridade precisa
Provas
Questão presente nas seguintes provas
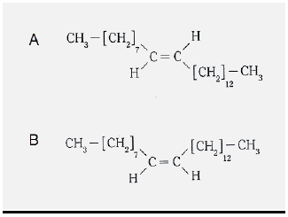
Em relação aos dois compostos apresentados, é falso o que se afirma em:

Provas
Questão presente nas seguintes provas
Observe a figura:

No conjunto de situações representadas na figura acima, estão presentes, predominantemente, quantos estados físicos da água?
Provas
Questão presente nas seguintes provas
Cadernos
Caderno Container