Magna Concursos

Foram encontradas 30 questões.

2798738 Ano: 2023
Disciplina: Astronomia
Banca: IBFC
Orgão: SEED-PR
Provas:

Desde 2006 a Mars Reconnaissance Orbiter divide a órbita de Marte com seus dois satélites naturais, Fobos e Deimos, coletando informações sobre a superfície e a atmosfera do planeta. O período de cada órbita completa da sonda tem duração de 36h. Fobos é o maior satélite natural e o que mais se aproxima da superfície de Marte, sua órbita é elíptica, tem um período de 8h e seu maior semi-eixo mede aproximadamente 9400 km - valor que corresponde a 0,4 vezes o tamanho do maior semi-eixo da órbita de Demos. Assinale a alternativa que apresenta, respectivamente, o tamanho do maior semi-eixo da órbita da sonda em função do tamanho do semi-eixo maior da órbita de Fobos (aF) e o período orbital de Deimos em função do período da órbita de Fobos (TF).

 

Provas

Questão presente nas seguintes provas
2798737 Ano: 2023
Disciplina: Astronomia
Banca: IBFC
Orgão: SEED-PR
Provas:

imagem abaixo (Figura 1a e 1b) ilustra dois diferentes modelos para o movimento planetário. A Figura (a) é uma representação da movimentação de Marte e da Terra em um modelo Heliocêntrico genérico, no qual o Sol (S), se encontra parado em um ponto central das trajetórias circulares descritas pelos planetas. As posições ocupadas por Marte e Terra no decorrer de seus movimentos são indicadas por Mi e T i (onde i = 1,2,3,…), respectivamente. A figura (b) ilustra o movimento de Marte de acordo com o modelo Geocêntrico de Ptolomeu. Nele, a Terra (T) ocupa uma posição central, o Sol (S) orbita ao seu redor e Marte (M) realiza movimentos circulares ao redor de um ponto fictício que orbita ao redor da Terra.
Enunciado 2798737-1
Figura: (a) Modelo Heliocêntrico e (b) Modelo Geocêntrico de Ptolomeu. Fonte: Adaptada de Revista Brasileira de Ensino de Física, v. 44, 2022.
Considerando os modelos Heliocêntrico e Geocêntrico, assinale a alternativa correta.

 

Provas

Questão presente nas seguintes provas
2798736 Ano: 2023
Disciplina: Astronomia
Banca: IBFC
Orgão: SEED-PR
Provas:
Analise o texto abaixo para responder à questão .
O raio de Schwarzschild é uma medida do tamanho do horizonte de eventos em torno de um objeto de massa M e representa o limite teórico a partir do qual nada, nem mesmo a luz, pode escapar da atração gravitacional desse objeto com massa muito grande e compacta, como um buraco negro. Este raio é calculado pela fórmula R = 2GM/c², onde R é o raio de Schwarzschild, G é a constante gravitacional, M é a massa do objeto e c é a velocidade da luz. Se necessário utilize as seguintes aproximações: G=(20/3)x10 -11 N.m²/kg², c = 3x10 8 m/s, 1 ano-luz = 10 13 km.
Estimativas sugerem que o universo observável atual tem massa e diâmetro respectivamente da ordem de 1,5x10 53 kg e 90 bilhões de anos-luz. Considerando as informações apresentadas no texto, e que o universo observável fosse um corpo esférico tridimensional usual, e que as constantes universais da gravitação e da velocidade da luz fossem as mesmas considerado que ele fosse observado “do lado de fora”, analise as afirmativas abaixo.

  1. O raio de Schwarzschild do universo observável seria da ordem de 2,2x10 26 m.
  2. Se o universo observável tivesse um terço do seu tamanho atual, considerando o tamanho como seu raio, ele já seria menor que o raio de Schwarzschild que se poderia atribuir a ele.
  3. Se o universo observável estivesse contido no raio de Schwarzschild sua densidade, assumida como a proporção entre massa e volume, seria menor do que o ultra alto vácuo produzido em laboratório que tem densidade da ordem de 10 -25 kg/m 3 .

Estão corretas as afirmativas:

 

Provas

Questão presente nas seguintes provas
2798715 Ano: 2023
Disciplina: Física
Banca: IBFC
Orgão: SEED-PR
Provas:

O comprimento de onda de fótons emitidos por LEDs (diodos emissores de luz) pode ser modelado pela diferença de energia entre os níveis de energia da banda de condução e da banda de valência dos materiais empregados na camada ativa desses dispositivos, popularmente denominado como gap ou lacuna (E g ). Para fins de modelagem podemos, então, utilizar a equação de Einstein para energia do fóton associado à transição entre as bandas de valência e condução para relacionar a energia do fóton, sua frequência e seu comprimento de onda:
E = hf = (hc)/λ
onde h = 4,136 x 10 - 15 eV.s é a constante de Planck e c = 2,998 x 10 8 m/s é a velocidade da luz em valores com quatro algarismos significativos.
A tabela abaixo apresenta a composição química de alguns dos materiais semicondutores usualmente empregados em LEDs comerciais que permitem a geração das mais variadas cores associadas aos fótons emitidos pelos dispositivos em que são empregados.
Enunciado 2798715-1
Assinale a alternativa que apresenta um valor adequado para o gap de energia do LED verde composto por InGaN estimado de acordo com o modelo acima.

 

Provas

Questão presente nas seguintes provas
2798714 Ano: 2023
Disciplina: Física
Banca: IBFC
Orgão: SEED-PR
Provas:

Considere o texto abaixo para responder à questão.

Considere dois fios retilíneos e paralelos carregadas com quantidade iguais de carga opostas e que se movimentam em relação a um observador com velocidade constante v na direção x conforme a representação abaixo. Os fios estão dispostos no plano xy com o comprimento na direção x.

Enunciado 2798714-1

Se um segundo observador que se movimenta com a mesma velocidade constante v junto aos fios e, portanto, também está em movimento em relação ao primeiro observado, analise as afirmativas abaixo.
I. As forças presentes nos fios são as mesmas e independem do referencial dos observadores.
II. As forças presentes em cada fio são diferentes para cada observador, mas a intensidade da resultante das forças em cada fio na direção y são iguais.
III. No referencial do segundo observador há uma força magnética resultante em cada fio na direção y, entretanto com menor intensidade quando comparada com o primeiro observador, devido a contração do espaço decorrente dos efeitos relativísticos entre os observadores.
IV. No referencial do segundo observador há uma força elétrica resultante em cada fio na direção y, entretanto com menor intensidade quando comparada com o primeiro observador devido a dilatação do espaço decorrente dos efeitos relativísticos entre os observadores.
V. Os efeitos relativísticos são sempre desprezíveis para problemas dessa natureza.
Estão corretas as afirmativas:
 

Provas

Questão presente nas seguintes provas
2798713 Ano: 2023
Disciplina: Física
Banca: IBFC
Orgão: SEED-PR
Provas:

Considere o texto abaixo para responder à questão.

Considere dois fios retilíneos e paralelos carregadas com quantidade iguais de carga opostas e que se movimentam em relação a um observador com velocidade constante v na direção x conforme a representação abaixo. Os fios estão dispostos no plano xy com o comprimento na direção x.

Enunciado 2798713-1

Do ponto de vista desse observador, analise as afirmativas abaixo.
I. Há uma força elétrica resultante em cada fio na direção y de mesma intensidade e em sentidos opostos, promovendo a atração entre eles.
II. Há uma força magnética resultante em cada fio na direção da velocidade tensionado os fios na direção x e em sentidos opostos.
III. Há uma força magnética resultante em cada fio na direção y, de mesma intensidade e em sentidos opostos, promovendo a atração entre eles.
IV. Há uma força magnética resultante em cada fio na direção y, de mesma intensidade e em sentidos opostos, promovendo a repulsão entre eles.
V. Há uma força magnética resultante em cada fio que é contrária ao movimento e reduz sua velocidade.
Estão corretas as afirmativas:

 

Provas

Questão presente nas seguintes provas
2798712 Ano: 2023
Disciplina: Física
Banca: IBFC
Orgão: SEED-PR
Provas:

O efeito Cherenkov é um fenômeno óptico que ocorre quando uma partícula carregada, como um elétron ou um próton, se move através de um meio material em uma velocidade maior do que a velocidade da luz nesse meio. Quando isso acontece, a partícula emite um cone de luz visível chamado de radiação Cherenkov. Considere para a velocidade da luz no vácuo o valor de 300 mil km/s e para o índice de refração da água o valor de 1,33. Assinale a alternativa que apresenta a velocidade de uma partícula que emitiria a radiação Cherenkov ao se deslocar na água.

 

Provas

Questão presente nas seguintes provas
2798711 Ano: 2023
Disciplina: Física
Banca: IBFC
Orgão: SEED-PR
Provas:

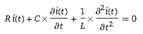
No circuito representado abaixo R, L e C são respectivamente a resistência, indutância e capacitância dos dispositivos do circuito, ligados em série. Considere que o capacitor está inicialmente carregado e com a chave aberta (que será fechada em t=0).

Enunciado 2798711-1

Considere que a resistência R é muito baixa e que R 2 << L/C, sendo os efeitos de resistência desprezíveis nos momentos iniciais de acionamento da chave do circuito. Assinale a alternativa que melhor esboça o comportamento da corrente desse circuito nesses momentos iniciais, onde I0 é a corrente quando a chave é fechada.

 

Provas

Questão presente nas seguintes provas
2798710 Ano: 2023
Disciplina: Física
Banca: IBFC
Orgão: SEED-PR
Provas:

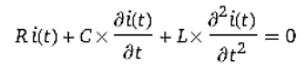
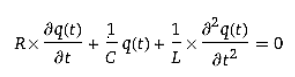
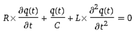
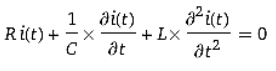
No circuito representado abaixo R, L e C são respectivamente a resistência, indutância e capacitância dos dispositivos do circuito, ligados em série. Considere que o capacitor está inicialmente carregado e com a chave aberta (que será fechada em t=0).

Enunciado 2798710-1

Assinale a alternativa que indica a equação diferencial do circuito a partir do momento que a chave é fechada, onde q(t) e i(t) representam respectivamente a carga e a corrente do circuito.

 

Provas

Questão presente nas seguintes provas
2798709 Ano: 2023
Disciplina: Física
Banca: IBFC
Orgão: SEED-PR
Provas:

Um observador posicionado exatamente sobre o foco (F) de um espelho côncavo é capaz de ver a imagem nítida do seu rosto formada no espelho. Isso acontece, pois, a córnea, o humor aquoso e o cristalino, que constituem o sistema de lentes do nosso olho, atuam como uma lente convergente, que conjuga a imagem do rosto do observador sobre a retina. Como resultado, é formada uma imagem invertida de tamanho h, sobre o foco do sistema de lentes do olho (F’). Esse fenômeno está ilustrado na figura abaixo. Na imagem, H representa o tamanho do objeto (o rosto do observador).
Enunciado 2798709-1

Fonte: https://www.scielo.br/j/rbef/a/ GxsGrNDTRxmTkNWLTfxf84n/?format=pdf&lang=pt
Assinale a alternativa correta.

 

Provas

Questão presente nas seguintes provas