Foram encontradas 30 questões.
A luz, ao atravessar um prisma, sofre um desvio angular conforme indicado na figura.
Fonte: https://www.scielo.br/j/rbef/a/ Sc7GZwRrpNb8yyVmLLBX9hz/?format=pdf&lang=pt
Assinale a alternativa que corresponde ao valor do índice de refração do prisma (n) na situação em que o desvio angular (
D
) é mínimo e o ângulo de abertura é A = 60º.
Provas
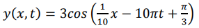
Uma corda de 15 g e 1,5m está fixada por uma das extremidades à haste de um dispositivo vibrador ligado a um gerador de áudio, que a faz oscilar transversalmente, com amplitude de 3 cm e frequência de 5Hz. Uma tensão de 4N é mantida na corda por meio de um bloco e uma polia, conforme ilustrado na figura abaixo.
Fonte: Adaptada de http://demonstracoes.fisica.ufmg.br/demo/59/3B22.10-Ondas-estacionarias-em-uma-corda
Sabe-se que o deslocamento transversal y da onda, em função do tempo (t) para um ponto da corda localizado a uma distância (x) da extremidade fixa à haste do dispositivo vibrador, no intervalo de tempo em que a onda ainda não chegou à extremidade oposta, é dado pela função:
Provas
Dados:
calor específico da água: c=4,2cal/gºC
calor latente de fusão da água: LF = 80cal/g
calor latente de vaporização água: LV = 540 cal/g
densidade da água: ρ = 1kg/l
O Poder Calorífico Líquido (PCL) de um material é uma medida da quantidade de energia útil gerada na combustão desse material. No caso da madeira, o poder calorífico, entre outros fatores, sofre influência do componente da árvore da qual a madeira foi extraída. Na tabela abaixo são dados os valores do PCL médio para resíduos de madeira, provenientes dos galhos e da copa da árvore da espécie Pinus taeda.
Tabela: Poder Calorífico Líquido (PCL) para diferentes componentes da espécie Pinus taeda

Fonte: Adaptada de https://www.scielo.br/j/rarv/a/ 4JMHWm8fn3pWgWJFKk3bBhg/?lang=pt#ModalTablea20tab04
Assinale a alternativa que indica corretamente a quantidade mínima de resíduo de madeira da espécie Pinus taeda que precisaria ser queimada em uma fogueira em espaço aberto para aquecer 1l de água de 25ºC a 100ºC e vaporizar 400 g de água. Para isso, considere os valores de PCL fornecidos na tabela acima e que, nessas condições (fogueira em céu aberto), apenas 20% da energia da queima do resíduo de madeira é efetivamente usada para aquecer a água.
Provas
Considere o seguinte experimento mental:
Um recipiente retangular de volume total V, hermeticamente fechado e de paredes externas adiabáticas, possui internamente três compartimentos também herméticos. Esse recipiente hipotético possui um mecanismo que permite que as paredes internas que separam os compartimentos hora funcionem como paredes adiabáticas, hora como diatérmicas. Cada compartimento é preenchido com uma porção de massa
M
de um gás ideal, aquecida a diferentes temperaturas, sendo
T
temperatura a do gás no compartimento 1;
2T
do gás no compartimento 2 e
0
,
75T
do gás no compartimento 3. Inicialmente as paredes que separam os compartimentos 1 e 3 e os compartimentos 3 e 2 funcionam como paredes diatérmicas e a parede que separa o compartimento 1 e 2 funciona como uma parede adiabática. Após um tempo suficiente de espera os gases armazenados entram em equilíbrio termodinâmico. Dá-se início à segunda etapa do experimento, em que os tipos de parede se invertem: as paredes entre os compartimentos 1 e 3 e entre os compartimentos 2 e 3 passam, então, a funcionar como paredes adiabáticas, e a parede entre o compartimento 1 e 2, como diatérmica. Como esquematizado na ilustração abaixo:
Figura 1. Ilustração esquemática dos compartimentos nas duas etapas do experimento
Sobre os processos termodinâmicos ocorridos com os gases nos compartimentos, analise as afirmativas abaixo.
- Na etapa 2 do experimento, não haverá troca de calor entre os gases do compartimento 1 e 2.
- Na etapa 1 do experimento, os processos termodinâmicos ocorridos com os gases nos compartimentos de 1 a 3 são todos isobáricos.
- Na etapa 1 do experimento há um aumento da energia interna do gás localizado no compartimento 3 e, portanto, um aumento do trabalho que esse gás realiza sobre as paredes.
Assinale a alternativa que versa sobre a veracidade das afirmativas acima. Se necessário considere a Lei dos Gases Ideais: pV=nRT.
Provas
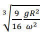
A balança de torção de Cavendish é usada para determinar o valor da constante gravitacional. Ela consiste de duas esferas pequenas de mesma massa (m) fixadas em posições diametralmente opostas a uma haste leve e rígida no formato de T invertido. A haste é sustentada verticalmente por um fio, o que permite a rotação da haste em torno de seu eixo longitudinal, que também é um eixo de simetria. Quando duas outras esferas maiores de massa M são aproximadas das esferas menores, é observada uma pequena torção na balança. O ângulo de torção é medido com o auxílio de um sistema composto por um feixe de laser e um espelho fixado ao eixo vertical da haste, assim como ilustrado na figura abaixo. Se necessário considere G = 6,67 x 10
-11
N.m²/kg², adote a aproximação: 6,67 = 20/3
Figura: Diagrama da balança de Cavendish descrita. Fonte: wikipedia commons.
Suponha que a massa das esferas maiores seja M = 2kg e das esferas menores seja m = 10g, que o comprimento do braço horizontal da haste seja L = 40,0 cm e que a distância de afastamento entre os centros de massa das esfera pequenas e grandes seja r = 2,0cm. Assinale a alternativa que apresenta o torque resultante sobre o sistema composto pela haste e as esferas pequenas, em relação ao eixo de rotação da balança.
Provas
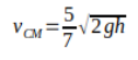
Devido ao recorte dos conteúdos escolares é comum que os experimentos didáticos de lançamento sejam realizados com esferas deslocando-se em calhas considerando apenas o movimento translacional, como se realizassem um deslizamento puro. Entretanto, em decorrência dos efeitos do atrito entre a esfera e a calha, o movimento rotacional não pode ser desprezado. Consideremos o caso de uma calha ajustada para a realização de um lançamento horizontal, ou seja, permite que a esfera seja abandonada de determinada altura e ao final a esfera é lançada horizontalmente após um trecho horizontal de calha. Se o movimento neste caso fosse um deslizamento puro a velocidade do centro de massa (VCM) no momento do lançamento seria dado pela relação:
\(V_{CM} = \sqrt{2gh}\)
sendo h o deslocamento vertical do centro de massa (CM) da esfera durante o movimento na rampa.
Por outro lado, se o movimento fosse de rolamento puro nas bordas da calha a velocidade do centro de massa no lançamento pode ser modelado pela seguinte relação:
\( v_{CM} = \sqrt{2gh}\sqrt{1 - \dfrac{2}{7 - 5\left(L/D\right)^2}} \)
sendo D o diâmetro da esfera e L a largura da calha, como representado na figura 1:

Figura 1.Representação da esfera em contato com a calha
Neste modelo, a resistência do ar está sendo desprezada.
Considere que A D é o alcance para o deslizamento puro, que A R é o alcance para o rolamento puro nas condições apresentadas no texto de suporte, que H é o deslocamento vertical do centro de massa após o lançamento e que a largura da calha é muito menor que o diâmetro da esfera (L << D). Assinale a alternativa que representa a expressão da diferença entre o alcance nas duas condições (AD - AR) e o valor aproximado dessa diferença se h = 35 cm e H = 1,0 m. Caso necessite, utilize as seguintes aproximações √2 = 1, 4, √5 = 2, 2 e √7 = 2, 6.
Provas
Considerando para a aceleração da gravidade o valor de aproximadamente 9,8 m/s 2 , que a largura da calha é cerca de 10 vezes menor que o diâmetro da esfera e que o centro de massa desloca verticalmente 35 cm na calha e depois mais 1,0 m após o lançamento horizontal, assinale a alternativa que apresenta o valor que melhor se aproxima do alcance (deslocamento horizontal após o lançamento, em relação ao ponto que a esfera deixa de ter contato com o aparato).
Provas
Devido ao recorte dos conteúdos escolares é comum que os experimentos didáticos de lançamento sejam realizados com esferas deslocando-se em calhas considerando apenas o movimento translacional, como se realizassem um deslizamento puro. Entretanto, em decorrência dos efeitos do atrito entre a esfera e a calha, o movimento rotacional não pode ser desprezado. Consideremos o caso de uma calha ajustada para a realização de um lançamento horizontal, ou seja, permite que a esfera seja abandonada de determinada altura e ao final a esfera é lançada horizontalmente após um trecho horizontal de calha. Se o movimento neste caso fosse um deslizamento puro a velocidade do centro de massa (VCM) no momento do lançamento seria dado pela relação:
\(V_{CM} = \sqrt{2gh}\)
sendo h o deslocamento vertical do centro de massa (CM) da esfera durante o movimento na rampa.
Por outro lado, se o movimento fosse de rolamento puro nas bordas da calha a velocidade do centro de massa no lançamento pode ser modelado pela seguinte relação:
\( v_{CM} = \sqrt{2gh}\sqrt{1 - \dfrac{2}{7 - 5\left(L/D\right)^2}} \)
sendo D o diâmetro da esfera e L a largura da calha, como representado na figura 1:

Figura 1.Representação da esfera em contato com a calha
Neste modelo, a resistência do ar está sendo desprezada.
Assinale a alternativa que representa a aproximação para a velocidade do centro de massa no lançamento para o caso em que a largura da calha é muito menor que o diâmetro da esfera (L << D).
Provas
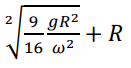
Você está sob a superfície da Terra, na linha do equador, quando vê exatamente acima de sua cabeça um satélite que se move de oeste para leste - o mesmo sentido de rotação da terra. O mesmo satélite está sob sua cabeça após 8h. Se w, g e R são, respectivamente, a velocidade angular de rotação, a aceleração da gravidade na superfície e o raio da Terra, assinale a alternativa que apresenta qual a distância do satélite ao ponto em que você se encontra, no momento em que ele está sob sua cabeça.
Provas
- A densidade, é inversamente proporcional ao quadrado de sua massa.
- Quanto maior a sua massa menor será sua densidade.
- Para dois buracos negros, será mais denso aquele com maior massa.
Estão corretas as afirmativas:
Provas
Caderno Container