Foram encontradas 200 questões.
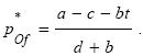
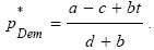
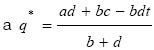
Suponha as seguintes curvas de oferta e demanda por um produto, respectivamente,
onde a, b, c, d > 0 são os parâmetros destas curvas. A respeito do equilíbrio antes e depois da introdução de um imposto sobre quantidades, assinale a afirmativa incorreta.
onde a, b, c, d > 0 são os parâmetros destas curvas. A respeito do equilíbrio antes e depois da introdução de um imposto sobre quantidades, assinale a afirmativa incorreta.Provas
Questão presente nas seguintes provas
Seja p(Q) = a - bQ uma função de demanda agregada inversa por um produto, onde Q é quantidade, p o preço unitário e a, b > 0.
Sobre a elasticidade da demanda, considere:

Assinale:
Sobre a elasticidade da demanda, considere:

Assinale:
Provas
Questão presente nas seguintes provas
Considere um mercado competitivo em equilíbrio de longo prazo.
As firmas desse mercado possuem a mesma função custo
A quantidade produzida por cada firma e o preço de equilíbrio são, respectivamente:
As firmas desse mercado possuem a mesma função custo

A quantidade produzida por cada firma e o preço de equilíbrio são, respectivamente:
Provas
Questão presente nas seguintes provas
Com relação à participação dos municípios na arrecadação dos impostos estaduais, com base na Lei Complementar nº 63/90, é correto afirmar que:
Provas
Questão presente nas seguintes provas
Com relação aos estilos e técnicas de gestão de conflitos, analise as afirmativas a seguir.
I. A desescalonização procura mitigar conflitos ao encorajar atitudes cooperativas entre as partes.
II. O estilo de abstenção é sugerido quando um assunto é trivial ou o desentendimento é muito oneroso.
III. A abordagem estrutural faz uso dos sistemas de recompensas como mecanismo de gestão de conflitos.
Assinale:
I. A desescalonização procura mitigar conflitos ao encorajar atitudes cooperativas entre as partes.
II. O estilo de abstenção é sugerido quando um assunto é trivial ou o desentendimento é muito oneroso.
III. A abordagem estrutural faz uso dos sistemas de recompensas como mecanismo de gestão de conflitos.
Assinale:
Provas
Questão presente nas seguintes provas
Com relação aos mecanismos de gestão do conhecimento, analise as afirmativas a seguir.
I. O mapeamento do conhecimento é um mecanismo de gestão do conhecimento tácito.
II. As comunidades da prática são um mecanismo de gestão do conhecimento explícito.
III. O diálogo é um mecanismo de gestão do conhecimento tácito.
Assinale:
I. O mapeamento do conhecimento é um mecanismo de gestão do conhecimento tácito.
II. As comunidades da prática são um mecanismo de gestão do conhecimento explícito.
III. O diálogo é um mecanismo de gestão do conhecimento tácito.
Assinale:
Provas
Questão presente nas seguintes provas
As características do modelo clássico de desenho de cargos estão relacionadas a seguir, à exceção de uma. Assinale-a.
Provas
Questão presente nas seguintes provas
Com relação à competência individual, assinale a afirmativa que não apresenta foco na customização .
Provas
Questão presente nas seguintes provas
Assinale a alternativa que pode ser considerada contribuição original e elemento fundamental da teoria da contingência ao comportamento organizacional.
Provas
Questão presente nas seguintes provas
A empresa X produz e vende unicamente o produto Y. A margem de contribuição unitária de Y duplicou do primeiro para o segundo trimestre de 2010.
A causa correta para que esse fato tenha ocorrido é:
Obs.: Mantendo-se constantes todas as outras variáveis.
A causa correta para que esse fato tenha ocorrido é:
Obs.: Mantendo-se constantes todas as outras variáveis.
Provas
Questão presente nas seguintes provas
Cadernos
Caderno Container